注册帐号丨忘记密码?
1.点击网站首页右上角的“充值”按钮可以为您的帐号充值
2.可选择不同档位的充值金额,充值后按篇按本计费
3.充值成功后即可购买网站上的任意文章或杂志的电子版
4.购买后文章、杂志可在个人中心的订阅/零买找到
5.登陆后可阅读免费专区的精彩内容
打开文本图片集
1高考试题
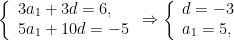
(2025年新高考 I 卷第7题)记 Sn 为等差数列{an} 的前 n 项和,若 S3=6,S5=-5 ,则 S6= (A)—20.(B)—15.(C)-10. (D)-5 :
2解法探究
解法1(基本量法求解)
设等差数列 {an} 的公差为 d ,则由题可 ! 得 所以 S6=6(剩余1995字)
登录龙源期刊网
购买文章
2025年新高考Ⅱ卷第7题的多解与变式探究
文章价格:3.00元
当前余额:100.00
阅读
您目前是文章会员,阅读数共:0篇
剩余阅读数:0篇
阅读有效期:0001/1/1 0:00:00