注册帐号丨忘记密码?
1.点击网站首页右上角的“充值”按钮可以为您的帐号充值
2.可选择不同档位的充值金额,充值后按篇按本计费
3.充值成功后即可购买网站上的任意文章或杂志的电子版
4.购买后文章、杂志可在个人中心的订阅/零买找到
5.登陆后可阅读免费专区的精彩内容
打开文本图片集
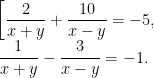
二元一次方程组是初中数学体系中的关键内容,它不仅涉及多种实际问题,也是深入学习代数知识的重要基础.在常规教学中,学生通常使用代人消元法或加减消元法进行求解.然而,面对一些结构特殊的方程组,使用一般性方法往往步骤烦琐,且容易因计算冗长而出错.此时,若能识别题目特征,灵活选用特殊解法,常能化繁为简,事半(剩余1574字)
登录龙源期刊网
购买文章
例谈二元一次方程组的特殊解法
文章价格:3.00元
当前余额:100.00
阅读
您目前是文章会员,阅读数共:0篇
剩余阅读数:0篇
阅读有效期:0001/1/1 0:00:00