注册帐号丨忘记密码?
1.点击网站首页右上角的“充值”按钮可以为您的帐号充值
2.可选择不同档位的充值金额,充值后按篇按本计费
3.充值成功后即可购买网站上的任意文章或杂志的电子版
4.购买后文章、杂志可在个人中心的订阅/零买找到
5.登陆后可阅读免费专区的精彩内容
打开文本图片集
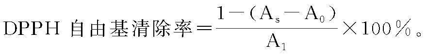
摘要:姜味调味品或饮料生产过程中会产生大量的副产物姜渣,若直接将副产物作为废弃物处理,不仅会污染环境,而且会导致资源浪费。该研究基于此,对比不同提取工艺对生姜渣中多糖结构和抗氧化活性的影响,通过分光光度法、高效液相色谱法和凝胶过滤色谱技术对比超声辅助法(A-1、A-2和A-3)和热水浸提法(B-1、B-2和B-3)获得的生姜渣多糖组分,并对两种提取方式的生姜渣多糖分子质量和抗氧化活性进行测定。(剩余8488字)
登录龙源期刊网
购买文章
不同提取工艺对生姜渣中多糖结构的影响及其抗氧化活性分析
文章价格:5.00元
当前余额:100.00
阅读
您目前是文章会员,阅读数共:0篇
剩余阅读数:0篇
阅读有效期:0001/1/1 0:00:00