注册帐号丨忘记密码?
1.点击网站首页右上角的“充值”按钮可以为您的帐号充值
2.可选择不同档位的充值金额,充值后按篇按本计费
3.充值成功后即可购买网站上的任意文章或杂志的电子版
4.购买后文章、杂志可在个人中心的订阅/零买找到
5.登陆后可阅读免费专区的精彩内容
打开文本图片集
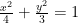
[摘要]随着新课改的深入推进,深度学习理念备受关注.数学是思维的体操,通过创设合理的问题开展教学,能够有效激发学生的学习内驱力,发展数学思维,实现深度学习,进而落实核心素养.研究者以一道“椭圆定值定点问题”的解题教学为例,引导学生在由浅入深的问题驱动下,亲历知识“点 $$ 线 $$ 面”的发展过程,(剩余4778字)
登录龙源期刊网
购买文章
深度学习视域下发展数学思维的措施研究以
文章价格:4.00元
当前余额:100.00
阅读
您目前是文章会员,阅读数共:0篇
剩余阅读数:0篇
阅读有效期:0001/1/1 0:00:00