基于HBA-Transformer-BiLSTM模型的短时交通流预测

打开文本图片集
Short-TermTrafficFlowPredictionBased ontheHAB-Transformer-BiLSTMModel ,(, ) , , , , , (College of Engineering, Xizang University, Lhasa 85oooo, China)
关键词:交通流预测;Transformer;BiLSTM;蜜獾优化算法中图分类号:F570.3;U495 文献标志码:A DOI: 10.13714/j.cnki.1002-3100.2026.04.002
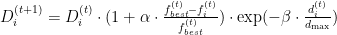
Abstract: Withtheaccelerating paceofurbanization,thecomplexityanddynamicityoftransportationsystems havesignificantly increased,makingsorttertafcflowreditionaciticalomponntofteligentrasportatinsems.aditioaletos struggletobalance predictionacuacyand modelstabilitywhenhandlinglargescaleandhighfrequency traficdata.Tothis end, ahybridmodelintegratingHoneyBadgerAlgorithm (HBA),Transformer,andbiirectionallongshorttermmemory (BiM)is proposed.This modelleverages theTransformer's globaldependencymodelingcapabilityBiLSTM'sbidirectionaltemporalfeature extractionabilityand HBAshyperparameteradaptiveoptimizationadvantagetoacheveeficent modelingoftrafclow'satio temporalcharacteristics.ExperimentalresultsbasedonthePeMD4datasetdemonstratethatthismodeloutperformsmainstreammodels suchas CNN,GRU, XGBoost,andTCNinmetricsincluding Mean Absolute Percentage Eror(MAPE), Mean Absolute Eror(AE), and the coefficient of determination (R2)
Key words: traffic flow prediction; Transformer; BiLSTM; Honey Badger Algorithm
0引言
城市交通流日趋复杂,使得交通拥堵、资源浪费等问题日益突出。(剩余6425字)