注册帐号丨忘记密码?
1.点击网站首页右上角的“充值”按钮可以为您的帐号充值
2.可选择不同档位的充值金额,充值后按篇按本计费
3.充值成功后即可购买网站上的任意文章或杂志的电子版
4.购买后文章、杂志可在个人中心的订阅/零买找到
5.登陆后可阅读免费专区的精彩内容
打开文本图片集
1 简化实数运算
实数运算除了要注意运算法则,还要注意运算能否简化,而因式分解往往能发挥关键作用.
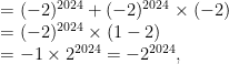
例1(1)计算 (-2)2024+(-2)2025 等于( )
(A)-22024 (B)-22025 (C)22024. (D)-2
(2)计算 12-22+32-42+52-62+…+992 -1(剩余2413字)
登录龙源期刊网
购买文章
因式分解的应用知多少
文章价格:3.00元
当前余额:100.00
阅读
您目前是文章会员,阅读数共:0篇
剩余阅读数:0篇
阅读有效期:0001/1/1 0:00:00