注册帐号丨忘记密码?
1.点击网站首页右上角的“充值”按钮可以为您的帐号充值
2.可选择不同档位的充值金额,充值后按篇按本计费
3.充值成功后即可购买网站上的任意文章或杂志的电子版
4.购买后文章、杂志可在个人中心的订阅/零买找到
5.登陆后可阅读免费专区的精彩内容
打开文本图片集
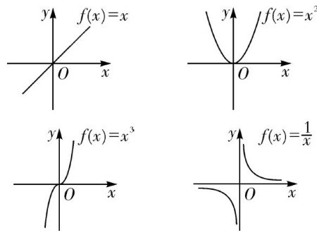
当前高中数学课堂存在学生对概念理解浅显、教师忽略概念教学的现象.部分学生常常忽略数学概念,认为掌握解题技能即可应对考试要求,从而将概念视为解题的预备步骤,忽略其本身价值.[]问题导向学习(Problem-BasedLearning,简称PBL)的目标是利用创新的教学方法,激发学生的探究兴趣,引导(剩余5457字)
登录龙源期刊网
购买文章
高中函数概念教学中问题导向学习的应用研究
文章价格:4.00元
当前余额:100.00
阅读
您目前是文章会员,阅读数共:0篇
剩余阅读数:0篇
阅读有效期:0001/1/1 0:00:00