月季品种‘探险家’嫁接苗与扦插苗的抗旱性比较

打开文本图片集
中图分类号:S685.12 文献标识码:A 文章编号:1006-060X(2026)01-0097-06
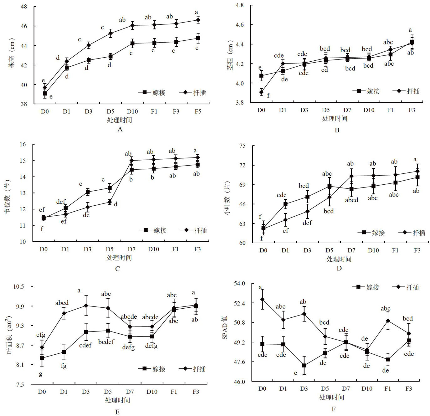
Abstract:Thisstudyaimstoexplore theeffctof graftingonthedroughttoleranceofacut-fowervarietyofChinarose.Tepopular varietyExplorer'inthemarketwasselectedforpotexperimentswithcontrollediigation.Tegraftingandcutingseedlingswere comparedintermsof growthandphysiologicalresponsesduringdroughtstressandre-watering.Theresultsshowedthategarding morphology,graftedsedingssuferedfromilddamageunderdroughtstressandrecoveredmoreapidlyafterre-watering.Interms of physiologyddlinsebitedgruproidedmutaeactivityroidaseactivityalaseactiviydp content,demonstratigstrongerantioxidantandosmoticgulationcapabilits.Attheearlystageofroughttres,gaftedsedlings showed higher net photosynthetic rate (Pn) ,stomatal conductance (Gs) ,intercellular CO2 concentration (Ci) ,and transpiration rate (Tr) thancutingseedlings,andgaftedsedingsrecovered morerapidlyafterre-watering.However,cutingseedlingshadighrplant height,leafarea,andSPADvalue,lowermalondialdehde(MDA)content,andilderlipidperoxidationamageofthecellrane thangraftedsedlings.Although some advantagesof graftedseedlings werenotfullydemonstratedunderlimitedpotedconditions, graftedsedlingsoutperformedcutingseedlings inphysiologicalresponse mechanisms todroughtandrecoveryuponre-watering. InthefutureproductionofcutfowersofChinarose,graftingcanbechosenasthemainreproductivemethodtoenhancethedrought tolerance since it can improve the quality of cut flowers while reducing irrigation water.
Keywords:cut-flower VarietyofChina rose;grafted seedlings; cutting seedlings;drought stress
云南作为花卉农业大省,不仅是全球三大鲜切花主产地之一,也是鲜切花月季的主要产区。(剩余7274字)