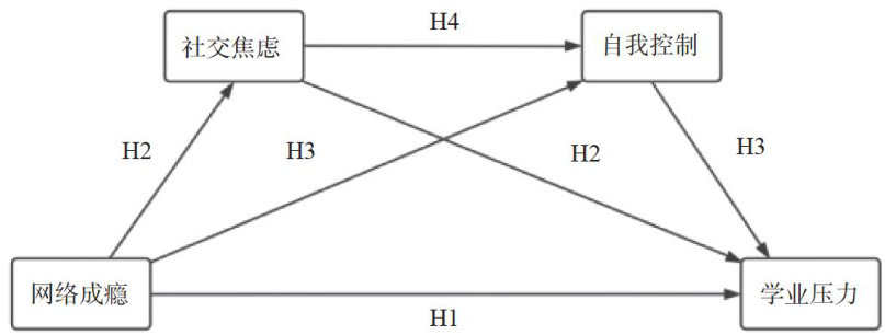
学业压力与网络成瘾的关系:社交焦虑与自我控制的中介作用

打开文本图片集
中图分类号:G448 文献标识码:A 文章编号:1671-9247(2025)05-0105-05
The Relationship between Academic Stress and Internet Addiction in College Students: the Mediating Role of Social Anxiety and Self-control
JIANGJin,WANGHao,CHENZhihan,ZHUZhiwei (SchoolofEnvironmentalandEnergyEngineering,AnhuiJianzhu University,Hefei23o6o1,Anui,China)
Abstract:Objective:ToexploretheeffectsofInternetaddictiononacademicstress,andtofurtheranalyzethechainmediatingroleofself-controlandsocialanxiety.Methods:690collgestudentsfromvariousuniversitisinHefeiAnhuiprovincewere investigatedbyusingtheInteetAdictionDiagnosisScaleacademicstresale,socialanxietysaleandself-controlsaleResults:Interet addiction afects the academic pressureofcollge students in many ways.One is toinfluenceacademic stress throughthemdiatingroleofsocialanxietyorself-control.Tescondistofurtherinflueneacademicstres troughthecaimediatingefectofoialanietyonelf-otrol.Concluson:Basedoeaboeempiicalconlusiositissuggestedtteas ingface-to-face social interactionandstrengthenngself-controlcanallviate theacademicpressureofcollge studentsand prevent the occurrence of Internet addiction behavior.
Key words: academic pressure; internet addiction; social anxiety; self control; college student
一、引言
随着信息技术的迅猛发展和智能设备的广泛应用,网络已成为大学生获取信息、社交互动和娱乐的重要平台。(剩余10718字)