非组合大气约束的PPP-RTK定位分析

打开文本图片集
中图分类号:TP39;P228 文献标识码:A 文章编号:2096-4706(2026)03-0001-05
Analysis of PPP-RTK Positioning with Uncombined Atmospheric Constraints
HAN Ruije1,YUXuexiang.
(1. UnversityofScienceandTechnology,Huainan2001,
China; 2. 3DReal Scene and Inteligent Security Monitoring Jointing LaboratoryofAnhui Province,Huainan 232001,
China; 3.KeyLaboratoryofAviation-aerospace-ground Cooperative Monitoring andEarlyWarning ofCoalMining-induced Disasters of Anhui Higher Education Institutes,Anhui UniversityofScienceandTechnology,Huainan 2320o1,China;
4.Engineering Research Centerof Mining Area Environmentaland Disaster Cooperative Monitoring,Anhui Universityof Science and Technology,Huainan 2320o1,China)
Abstract: Undifferenced and uncombined PPP-RTK technology efectively improves the convergence speed and positioning accuracyofPrecisePointPositioning byintroducing externalatmosphericcorrection information.To verify the convergencespeedandpositioningaccuracyofthis technology,thispaperconstructsaPP-RTKmodel withatmospheric correction basedon theundiferencedand uncombined atmosphericextraction methodat the server end.High-precision ionosphericandtroposphericdelay products generated byregionalreferencenetworks providedata support.At teuserend,the userachieves precise postioning byconstrainingobservation values withatmosphericcorrection parameters.Experimentalresults show that the mean ionospheric modeling error is 0.1m and the mean tropospheric error is 0.019m .Atmospheric correction parameters form effective constraints on the positioning process. Under the baseline length of 100km ,after atmospheric correction, the horizontal errors of WROC and GOP6 stations after convergence are 9.79cm and 2.55cm respectively, the elevation errors are 3.88cm and 4.17cm respectively, and the ambiguity fixed rates reach 97.8% and 96.1% respectively, which verifies the effectiveness of this technology.
Keywords: PPP-RTK; atmospheric delay correction; undifferenced and uncombined; PPP
0 引言
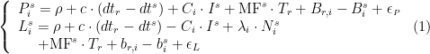
全球导航卫星系统(GlobalNavigationSatelliteSystem,GNSS)的建设推动了精密单点定位(PrecisePointPositioning,PPP)技术的快速发展与成熟。(剩余6464字)