注册帐号丨忘记密码?
1.点击网站首页右上角的“充值”按钮可以为您的帐号充值
2.可选择不同档位的充值金额,充值后按篇按本计费
3.充值成功后即可购买网站上的任意文章或杂志的电子版
4.购买后文章、杂志可在个人中心的订阅/零买找到
5.登陆后可阅读免费专区的精彩内容
打开文本图片集
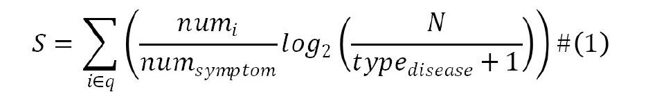
【摘 要】针对电子医疗信息过载和医疗资源严重不足的问题,本文以辅助诊疗的结果为基础,将Skyline查询和局部范围内基于协同过滤的评分方式有机结合,提出了一种面向智能导诊的个性化推荐算法。实验结果表明,本文提出的算法能为用户提供个性化的合理推荐结果。该方法对合理分配和使用医疗资源有很大的促进作用,能从一定程度上缓解就诊压力,提高就诊质量,具有重要的实用价值和社会意义。(剩余2811字)
登录龙源期刊网
购买文章
面对智能分诊的个性化推荐算法
文章价格:3.00元
当前余额:100.00
阅读
您目前是文章会员,阅读数共:0篇
剩余阅读数:0篇
阅读有效期:0001/1/1 0:00:00