基于近红外光谱技术的武夷岩茶做青叶水分含量智能检测方法

打开文本图片集
中图分类号:TS272.7 文献标志码:A文章编号:1000-3150(2026)02-80-7
Abstract: Traditional methods for detecting moisture content in green-making leaves of Wuyi rock tea have problems such as destructivene,time-consumingandlagging isues,andrelianceon manual experience,making itdificult to achieve real-time and accurate regulation.This study focused on two Wuyi rock tea cultivars,'Maoxie'and'Dawangfeng
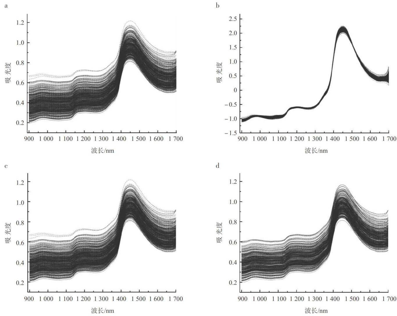
Shuixian',collecting near-infrared (NIR) spectral data and moisture values during the green-making proces.Three preprocessing methods—Standard Normal Variate (SNV),Savitzky-Golay first derivative (S-G),andone-dimensional median filtering (Medfilt),along with three feature band selection algorithms: Competitive Adaptive Reweighted Sampling(CARS), Bootstrapping Soft Shrinkage (BOSS),and Successive Projections Algorithm (SPA) wereused to process the spectral data,and the procesing results were systematicallycompared. Principal Component Analysis (PCA) was integrated to establish linear Partial Least Squares Regression (PLSR)and nonlinear Support Vector Regression (SVR)models for moisture content prediction.The results indicate that Medfilt was the optimal preprocessing method, while BOSS was the optimal feature band selection algorithm.The nonlinear SVR model demonstrates superior performance over the linear PLSR model,achieving correlation coefficients of 0.98 (Rc) and 0.95 ( Rp )for the calibration and predictionsets,respectively,withroot mean square errors (RMSECand RMSEP)of0.53and0.76,anda relative percentage deviation(RPD)of3.014.This high-precision prediction model provided theoretical and data-drivensupport for enhancing quality control in the standardized and digitalized production of Wuyi rock tea.
Keywords: Wuyi rock tea, green-making, moisture content, machine learning, near-infrared spectroscopy
武夷岩茶作为中国乌龙茶的代表性品类,以其独特的“岩骨花香”品质特征和精湛的加工工艺,成为乌龙茶类中的瑰宝[1-2]。(剩余7908字)