考虑时间特性的模具加工调度问题研究

打开文本图片集
中图分类号:TP278 文献标志码:A
Research on time based mold processing scheduling model
LU Ming1, XU Yanchong², ZHENG Suping'
(1. Yuhang Branch of Juxin Construction Group Co. LTD.,Hangzhou 3111Oo, Zhejiang, China; 2. New York University,New York ,USA)
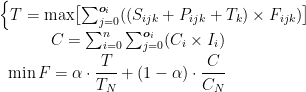
Abstract: In the process of mold processing,there is a strict interdependence between each process, which increases the complexity and dificulty of scheduling.To improve the production efficiency of mold processing and reduce the cost of mold processing,a mold processing scheduling method considering the characteristics of mold switching time is proposed. Firstly, construct a mold processing scheduling model with the goal of minimizing the maximum mold completion time and storagecost;Then,using the deep double Q-network(DDQN) as the basis for solving the scheduling model,and by improving the reward function and exploration strategy of DDQN, avoiding DDQN from geting stuck in local optima and invalid iteration space,an improved DDQN is proposed; Finally, the improved DDQN was used to solve the constructed mold processing scheduling model. Based on the actual processing status and constraints, the scheduling strategy was dynamically adjusted to ensure that the dependencies between each process were met,while optimizing production goals and cost indicators. The results show that compared with the traditional ddqn model, the improved ddqn model reduces the maximum mold completion time by an average of about 3.0% ,and the storage cost by an average of about 11.5% . It is concluded that this method can improve the production efficiency of mold processing and reduce the cost of mold processing,which has a certain reference value.
Key words:mold processing;scheduling model;mold switching time; deep double Q -network (DDQN) model;storage cost;productivity
0 引言
在复杂产品生产中,需要使用大量的模具进行加工,导致涉及的模具加工设备和工艺复杂,增强了模具加工调度难度,从而使模具加工的时间和成本上升。(剩余8834字)