科技创新与应用

科技创新与应用

2026年04期
  • 收藏
收藏成功
微博 空间 微信
《城市管理与科技》杂志是由北京市市政市容管理委员会主管,北京市市政管理委员会信息中心主办的在全国公开发行的行业性综合期刊...     展开

类型

旬刊

类别

学术
定价
促销信息
全年订阅更优惠!
¥30.00 ¥18.00
目录

创新前沿

高速铁路提速下车辆-轨道-路基动力响应特征研究
摘要:基于LS-DYNA有限元软件,构建三维车辆-轨道-路基耦合动力学模型,模拟 300~450km/h 工况,分析各系统动力响应特征;与铁路相关规范对比,揭示提速下车辆-轨道-路基系统动力响应影响特征,为高速铁路设计参数优化、轨道智能监测...
基于IFA算法的白芍提取工艺多目标优化研究
摘要:针对白芍配方颗粒生产传统提取工艺优化中存在依赖人工经验参数非线性耦合敏感性高、药效成分保留率低和能耗高等问题,该研究通过融合某药企318批次生产数据,创新建立以提取工艺生产参数为决策变量、以药效成分保留率最高和能耗最低为最优目标的改进...
基于鲁棒滤波的三维风和气流角估计方法研究
摘要:风是影响飞行器运动的重要因素,而气流角是关键飞行状态量。目前主流的风和气流角估计方法未考虑传感器量测野值,估计精度受野值影响严重。对此提出基于鲁棒滤波理论的新型风和气流角估计方法。首先基于状态空间模型进行随机风建模,并结合飞行器运动模...
基于视觉识别的工科高校实验室智能识别管理系统研究
摘要:基于视觉识别技术,利用.OpenCV进行人脸检测,然后结合LBPH算法实现人脸识别,自动匹配进入实验室人员ID,判断是否有权限进入实验室;利用SIFT算法进行特征提取,将得到的特征与模板图像匹配,实现对电源开关等的智能控制,实现人员离...
地空探测系统虚警率的降低方法研究
摘要:地空探测系统在防空预警、空域监视、战场感知等领域发挥着至关重要的作用,但复杂背景下多源干扰、环境杂波和系统误差导致虚警率居高不下,严重制约其作战效能与可靠性。该文围绕降低虚警率的核心问题,系统分析虚警产生的多元机理,提出基于自适应滤波...
基于多传感器融合的无人机隧洞自主导航与避障技术研究
摘要:在隧洞这一信号屏蔽、光照极差、障碍物密集的复杂空间中,无人机面临感知盲区广、位姿估计误差大、路径规划与避障响应滞后等技术障碍,传统单一感知方式难以支撑其高精度自主飞行作业。为此,该文聚焦隧洞空间特征与飞行需求,构建异构传感对齐与状态估...
改进 A* 与IDWA的无人机动态航迹规划融合算法
摘要:为探寻出无人机航迹规划的最佳算法,有效化解二维平面内 A* 算法存在多个转折点、具有冗余航迹长度的现象,提出结合运用改进 A* 算法与改进动态窗口(IDWA)法的无人机动态航迹规划融合算法。以扩展邻域搜索为基础改进 A* 算法,从运动...
铁路隧道二衬脱空原因及注浆补强对策分析
摘要:随着我国铁路网建设的快速发展,隧道工程数量显著增加,二次衬砌(二衬)作为围岩加固的关键措施,其质量问题日益凸显,对铁路运营安全构成严重威胁。该文针对已开通及即将开通运营的铁路隧道,通过全面检查与深入调研,发现二衬脱空、空洞等缺陷普遍存...
基于强化学习的产品服务一体化设计生成方法
摘要:随着当今市场个性化需求与复杂环境的持续演进,传统的设计方案生成方法已难以满足设计中的动态性和实时性要求。围绕设计中的产品服务方案一体化生成问题,提出一种基于强化学习的设计方案生成方法,并根据企业生产过程中的实际例子对设计问题建模,通过...

众创空间

低空经济多维系统构建与应用探索
摘要:该文深入研究低空经济在工业和城市场景中的应用,提出基于“四网融合"(空联网、航路网、服务网、设施网)和六层体系架构(硬件层、物联层、数据层、计算层、服务层、应用层)的低空智汇融合系统,详细阐述无人机自动机场、机动服务车、双层...
一种新型4H-SiCMOSFET器件设计与研究
摘要:该文设计一种高温稳定的4H-SiC MOSFET器件,通过 Sentaurus TCAD软件进行仿真研究,并讨论栅氧化层厚度、阈值电压与温度的关系,以及器件各部位最合适的掺杂浓度。之后制备出该器件,并分析其直流温度特性,数据与模拟结果...
基于SVM与贝叶斯网络的乡村污水态势预测模型
摘要:针对乡村污水治理的数据稀疏性、多源参数耦合及动态不确定性等难题,该文提出一种支持向量机(SVM)与贝叶斯网络协同的混合预测模型。通过SVM对污水类别进行高精度分类,结合贝叶斯网络对多因素交互影响进行概率推断,构建污水动态态势预测框架,...
基于数字化生产车间的动力锂电池电芯智能制造新模式
摘要:针对动力锂电池电芯制造中存在的工艺一致性差、设备协同效率低等难题,该研究构建基于“物理层-数据层-应用层”的数字化车间智能制造体系。通过部署高精度传感网络与边缘计算节点,实现涂布面密度波动范围收窄至 ±0.9% ;开发智能算...
创新型液压支架快速撤除机械手及配套工艺的开发与应用研究
摘要:针对兴隆庄煤矿10311工作面液压支架撤除空间受限、顶板压力集中及高安全风险问题,开发创新型液压支架快速撤除机械手及配套工艺。系统集成摆臂旋转、柔性牵引与远程遥控,实现掩护支架协同前移与机械手分步拉移。现场应用显示,单架撤除用时缩短至...
基于三维智能识别的仿生机械手远程控制系统
摘要:仿生手可以在各种高危环境工作中逐步替代人工进行作业,在智能制造、医疗手术等场合应用发挥着重要作用。该文通过RGB-D相机实时提取使用者的手部信息,再利用PointNet神经网络计算出提取手势所需要的21个关键节点,之后将节点数据输入到...

实验报告

大粒径水稳砾石CSG-50抗压强度增长规律研究
摘要:新疆地区优质碎石匮乏,丰富的砾石是修筑路面基层的主要材料。然而,实践表明水泥稳定破碎砾石(CSCG)基层容易出现开裂等早期病害。为缓解这一现象,该文研究大粒径水泥稳定砾石(CSG-50)的抗压强度增长规律,并得到抗压强度增长方程及预测...
环保型相变凝胶钻孔密封性能实验研究
摘要:钻孔密封材料的密封性能是决定煤矿井下瓦斯抽采钻孔的抽采质量、抽采效率的关键因素。然而,传统的钻孔密封材料存在反应温度较高、用量大、操作工艺复杂及长期钻孔密封性能差等问题,难以满足钻孔高质量密封要求。该文以环保型相变凝胶材料为基础,通过...
富水粉砂地层盾构施工风险及参数控制分析
摘要:随着我国城市轨道交通网络密度的提升,富水粉砂地层中盾构掘进引起的不均匀沉降已构成重大工程风险。针对城市地铁隧道盾构法施工中富水粉砂地层引发的地表沉降控制难题,该研究依托杭州地铁某区间隧道工程案例,采用风险控制分析-现场试验验证-关键参...
基于改进YOLO的桥梁表观病害无人机影像自动检测技术研究
摘要:桥梁是公路最重要的基础设施结构物之一,桥梁的稳定关乎着公路的运营安全,因此,开展桥梁表观病害检测是公路施工期和运营期的关键性工作。针对桥梁表观病害传统人工检测方法识别率低、效率差等问题,该文提出一种基于改进YOLOv8模型的桥梁表观病...
钢结构桥梁整幅顶推施工力学特性数值模拟分析
摘要:钢结构桥梁整幅顶推施工是一种高效、快速、安全的桥梁施工方法。该施工技术应用的合理与否关乎施工安全。该文以武汉市沙湖大道歌笛桥为工程依托,首先通过对比分析整幅顶推施工的优缺点,提出一种城市狭小空间钢结构桥梁整幅顶推施工方法。其次建立精细...

研究视界

智能采矿系统中多传感器数据融合与开采作业精准调控研究
摘要:为解决传统采矿数据分散、调控精度低、安全风险高的问题,该文开展多传感器数据融合与开采精准调控研究。首先明确多传感器分层融合逻辑,设计“选型-预处理-分层融合”方案,结合卡尔曼滤波、PCA、D-S证据理论实现融合;其次构建以安全、效率、...
考虑土体非线性的单桩 p-y 曲线研究
摘要:针对桩基抗震中的桩土 p-y 曲线的研究,该文在摩尔-库伦本构模型基础上引入动力荷载下土体剪切模量随剪应变的衰减特性,构建改进本构模型。使用FLAC3D建立考虑土体模量衰减的桩土模型,基于全桩位移法获取桩身不同深度的 p-y 曲线并分...
一种用于生物培养的声悬浮环形移相阵列研究
摘要:该文提出一种声悬浮环形移相阵列,利用超声波探头构建环形阵列,实现声波的线状聚焦,设计多路信号移相发射器和算法,通过调节相位实现生物培养液滴的悬浮、移动,满足生化反应需求,提升研究效果。测试结果表明,该装置能稳定实现液滴的移动,相对误差...
轨道车辆设计计划平台数字化管理研究
摘要:该文深入剖析轨道车辆设计计划平台的开发与应用实践,积极探寻契合轨道车辆设计计划数字化管理的有效路径与模式。旨在推动设计管理实现数字化转型,提升设计工作与设计管理效率,助推企业的数字化变革进程。...
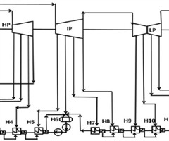
1000MW燃煤机组热力学性能对比研究
摘要:采用BEST配置和OSC配置是解决二次再热燃煤机组抽汽过热度问题的有效手段。为全面评估2种方案对系统热经济性的影响,该研究构建 1000MW 常规二次再热机组、配置BEST的二次再热机组以及配置OSC 的二次再热机组的热力学模型,并基...
倾斜地层厂房独立基础沉降规律与影响因素研究
摘要:山区与河谷地带的工程场地常位于倾斜地层,其地基沉降规律与均匀地层存在较大差异。该文针对倾斜地层的独立基础沉降问题,开展不同地质条件、不同基础设置方式下的地基沉降数值模拟,研究地层倾角、基底距离、基础埋深和夹层土性等因素对地基沉降和填土...
星三角启动与自耦降压启动及其配套设施的经济性对比研究
摘要:在工业应用中,星三角启动与自耦降压启动作为2种最为常用的降压启动方式通常都具备技术可行性,此情况下其经济性差异直接影响设备的选型与使用效益。该文以2种启动方式的原理特点为基础,从总体成本视角以成本差异为切入点,从设备投资、运行能耗、维...
桩基托换及盾构开挖对邻近加油站的影响研究
摘要:该文以广州市地铁十三号线二期工程下穿广清立交匝道桥邻近加油站的桩基托换工程为背景,应用MIDAS GTS 三维有限元模拟方法,系统研究桩基托换及盾构下穿2个关键阶段下对邻近加油站敏感设施的影响。研究结果表明,该方法可有效量化施工扰动效...
一次气旋暴雨过程的水汽特征分析
摘要:以2023年8月27日气旋暴雨过程为研究对象,利用常规地面、高空观测资料、FNL再分析数据等资料,结合天气实况、大气环流形势,从水汽水平输送、水汽垂直输送、水汽收支3个维度,揭示气旋暴雨的水汽供应机制。结果表明,此次暴雨在高空槽、江淮...

设计创新

装配式地铁结构设计与仿真分析
摘要:装配式地铁的安全运行高度依赖其防水性能的可靠性。该研究考虑密封性进行地铁结构设计,从材料选择和结构两方面进行系统性优化。通过实验验证,优化后的地铁结构展现出优异的防水特性与合理的承压能力,在标准工况下具备良好的结构性能。研究同时考察施...
基于Flask的气象数据接口管理平台设计与研究
摘要:针对气象数据接口运维效率低、安全风险高的问题,该文设计一种基于Flask框架的气象数据接口监控与管理平台。平台通过Prometheus 实现分布式监控,实时采集接口性能指标,利用 MySQL存储历史数据,结合ECharts实现多维度数...
500kV 开关站智能监测系统架构设计与关键技术研究
摘要:该文以 500kV 开关站智能监测系统为研究对象,针对传统巡检方式存在的问题,提出一种结合人工智能、物联网、大数据、智能传感等关键技术的 500kV 开关站智能监测系统的分层架构,并分别从感知层、网络层、平台层和应用层4个层面进行论述...
新能源汽车电池包结构设计与散热性能研究
摘要:新能源汽车电池包的结构设计及散热性能会直接影响车辆续航里程和安全性能,电池包系统由电池单体、模组结构、热管理系统、电气系统和防护系统部分组成,需要在空间约束、重量限制及安全标准等条件下实现优化设计。锂离子电池在工作过程中的发热机理包含...

方法创新

宁波轨道交通5号线全自动运行车辆能耗记录优化研究
摘要:该文针对宁波市轨道交通5号线工程车辆的能耗记录系统进行优化研究,通过改进计算周期、传感器校准等措施,探讨如何通过数据分析和智能化管理手段,提升能耗监测的精度与效率,并为轨道交通系统的节能减排提供有力的理论支持和技术依据。显著提高能耗数...
智慧城市规建管一体化数据智能串联研究与应用
摘要:随着智慧城市建设的深入推进,规划、建设与管理一体化数据串联成为提升城市治理效能的关键。该文针对规建管各阶段数据时空关联性弱、业务协同不足等问题,提出一种基于属性关联和空间智能匹配的跨阶段数据智能串联方法,实现业务流程与数据的横向贯通与...
铁路电务机房线缆热过载预警技术研究与实践
摘要:铁路电务系统中设备机房的电缆长期处于高负荷运行状态,易引发热过载风险并威胁系统稳定与人员安全,为提升热过载隐患的识别效率与风险响应能力,该文围绕电缆温度变化特征,提出热过载预警模型构建思路,并设计多参数协同监测方案以优化热异常识别算法...
DPP平台高噪设备消声器国产化升级改造
摘要:为解决某油气开发钻井一体化平台(DPP平台)面临的消声器结构老化和性能劣化,尤其是消声器保温层开裂、腐蚀、漏烟和不正常振动等问题,并且考虑到要降低施工成本和缩短工期,从国外购买原厂消声器已不切实际,因此通过升级结构,改善流道,提升材质...
水质自动监测数据审核中异常数据判定及处理研究
摘要:该文以某水库监测系统为案例,系统梳理水质监测中常见的异常数据成因,涵盖仪器故障、设备老化、采样误差和网络中断等因素;进而建立涵盖预判、审核、佐证、复核的多层级异常数据审核流程,并提出包括标准溶液核查、复测加标、实验室比对等多项技术核实...

技术·应用

水中大型深基坑锁口钢管桩围堰设计与施工技术研究
摘要:该研究以某特大桥项目为案例,详细探讨该桥主墩承台采用锁口钢管桩围堰设计及施工的技术应用。该文通过对围堰设计的全面分析和有限元仿真计算,研究大型深基坑钢管桩围堰的多工况计算,以确保围堰在施工过程中能够满足安全性和稳定性要求。此外,创新性...
盾构隧道法“先盾后井”工艺在排水管道施工中的应用
摘要:该文对盾构隧道法在排水管道中的应用进行简短的论述,进而引出“先盾后井"的施工方式在排水管道施工中的应用并对其重要性和可行性进行论述。文中以一工程实例,对“先盾后井"的实际施工顺序及设计重点进行剖析,希望通过该文,能...
人工智能在油气站场建筑结构设计中的应用研究
摘要:当前,人工智能(AI)技术在油气站场建筑结构设计中展现出革新潜力。该文系统回顾AI技术的演进历程,分析AI技术在建筑结构设计中的应用案例。进而针对油气站场建筑结构设计,提出AI技术应用方向,揭示当前面临的局限并提出突破路径,为油气站场...
大机捣固惯导测量技术在重庆至黔江铁路工程中的应用
摘要:该文围绕重庆—黔江铁路工程项目,开展大机捣固有砟轨道测量技术的研究与应用。在保证测量精度的前提下,解决传统有砟轨道测量效率低、受人工干扰等问题,引入GNSS、惯性传感器及里程计的组合惯导精调式测量方法。通过具体工程验证,达到轨道几何参...
火力发电机组汽轮机局部参数扰动能效及子系统性能诊断技术
摘要:为提升火力发电机组汽轮机运行的稳定性和经济性,探究汽轮机局部参数扰动能效及子系统性能诊断技术的应用。在局部参数扰动能效诊断中,使用等效热降法计算汽轮机的热耗率、标准煤耗和煤耗偏差。结合案例的耗差分析,得出1"高加上端差运行性...
物流园建筑工程中空调机组安装技术要点
摘要:空调机组安装技术对物流建筑的功能具有重要影响,空调机组安装是工程关键环节。空调机制施工是复杂的系统工作,物流园区建筑工程对空调机组安装的技术要求较高。安装过程高效、规范运用安装技术可减少施工隐患,保证货物存储品质,提高空调系统运行稳定...
下游河道测验中激光雷达技术应用研究
摘要:随着城市化进程加快和人类活动增强,部分河流下游河道出现淤积严重、水体污染、排水能力下降等问题,制约区域水生态环境的改善。传统水文测量方法在地形复杂、植被密集、岸坡陡峭等条件下测量效率低、精度难以保证。为解决上述问题,该文在下游河道测验...
相关杂志
  • 中国商论

    中国商论

    2026年04期
    ¥17.49
  • 中外建筑

    中外建筑

    2026年01期
    ¥9.90
  • 河南科技

    河南科技

    2026年02期
    ¥6.00
  • 海洋开发与管理

    海洋开发与管理

    2025年10期
    ¥21.69
  • 计算机应用文摘

    计算机应用文摘

    2026年05期
    ¥9.00
  • 社会科学研究

    社会科学研究

    2026年01期
    ¥9.00
  • 现代信息科技

    现代信息科技

    2026年04期
    ¥18.00
  • 湖南大学学报(社会科学版)

    湖南大学学报(社会科学版)

    2025年06期
    ¥12.00
  • 中国调味品

    中国调味品

    2026年02期
    ¥0.00
  • 计算技术与自动化

    计算技术与自动化

    2025年04期
    ¥10.89
  • 民主与科学

    民主与科学

    2025年06期
    ¥3.39
  • 研究与发展管理

    研究与发展管理

    2026年01期
    ¥4.00
订阅全年后,您可享受以下权益
①该本杂志即日起至未来1年内所有更新电子版杂志的使用权限;
②赠送该杂志的部分往期的杂志的使用权限,有效期1年。

全年订购价格: ¥648.00

订阅全年
--%>

登录龙源期刊网

温馨提示:

1.点击网站右上角的“充值”按钮可以为您的账号充值

2.充值金额可以选择30,50,100或500元

3.充值成功后即可购买网站上的任意杂志或文章

还没有龙源账户? 立即注册

购买杂志

科技创新与应用

杂志价格:¥18.00元

  • 微信扫码支付
  • 当前余额:100.00

购买杂志

科技创新与应用

杂志价格:¥18.00元

  • 微信扫码支付
  • 当前余额:¥100.00

    去充值
monitor
客服机器人