面向绿色纺织柔性作业车间调度的混沌协同进化算法

打开文本图片集
中图分类号:TS103.7 文献标志码:A 文章编号:2097-2911-(2025)05-0063-10
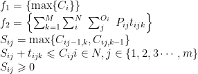
Abstract: To address the green scheduling requirements in flexible production workshops of the textile industry, a Chaotic Synergistic Evolutionary Algorithm (CSEA) integrating discrete particle swarm optimization with simulated anealing mechanisms was developed to optimize production efficiency and equipment energy consumption.Firstyl,a multi-objective scheduling model incorporating textile equipment energy consumption was established using a classical genetic algorithm framework, with innovative implementation of a chaos theory-based dynamic crossover probability adjustment mechanism. Logistic mapping equations were employed to enhance diversity search capability during scheduling processs.Then,discrete particle swarm optimization was embedded in population evolution to optimize textile equipment load distribution,complemented by simulated anealing for refined neighborhood search of processes,achieving dual optimization of global exploration and local exploitation.Finally,byusing an adaptiveearly stopping strategy to terminate invalid iterations dynamically,the time cost is significantly reduced. After testing on the Kacem dataset,compared with traditional genetic algorithms and standard particle swarm optimization algorithms,the proposed hybrid algorithm has improved convergence speed by 37.6% ,effectively tackling the textile equipment scheduling and energy consumption control challenges in multi-variety, small-batch production scenarios.
Key words: flexible job-shop scheduling; hybrid genetic algorithm; discrete particle swarm optimization; simulatedannealing;neighborhood search
中国纺织业作为全球纺织产业技术创新的核心力量,已构建起完整的产业体系,当前正加速推进绿色化与数智化深度融合。(剩余11403字)