高中数理化

高中数理化

2026年02期
  • 收藏
收藏成功
微博 空间 微信
北师大集团核心刊物

类型

半月刊

类别

定价
促销信息
全年订阅更优惠!
¥12.00 ¥7.29
目录

名师工作室

实践物理用中学(3)
1问题提出:从生活现象到学科探究 在日常生活中,荡秋千是极具代表性的休闲场景,其中蕴含着深刻的物理规律:即便没有外部推力,荡秋千者只需在最低点站起、在最高点蹲下,就能让秋千摆幅逐渐增大,系统能量明显增加.这一现象引发核心疑问——秋千系统新增...
基于“拼图”思维模型突破有机推断题
有机化学在高中化学学科中占有重要的地位.有机推断题是根据新的合成路线信息,利用各种有机物之间的相互转化关系,以已有简单物质合成特定物质的一类题目.该类试题往往以化工生产过程中的中间体以及合成的有机化合物为载体进行流程的设计,考查考生信息提取...

高考全关注

光电效应的考查分类例析
光电效应作为从经典物理迈向量子物理的里程碑,是理解“光量子”概念的关键所在,同时也是高考物理的热点与必考内容.其试题形式丰富多样,但考查的核心始终不变.本文将光电效应的考查归纳为四大类型,并通过典型例题进行深入剖析,助力同学们搭建清晰的复习...
认知负荷优化视角下光电效应高考复习的深度学习模式构建
1问题聚焦与理论框架 光电效应是理解光粒子性的关键实验,也是高考考查学生科学思维与知识迁移应用能力的重要载体,其考查重心已从基础规律的识记转向对新情境下概念关联与模型构建能力的深度考查.然而,传统复习模式往往停留在记结论、套公式的浅层学习状...
有机推断题中活泼氢参与的反应
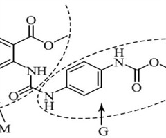
《普通高中化学课程标准(2017年版2020年修订)》在有机化学模块要求:“从化学键的角度认识官能团与有机化合物之间是如何相互转化的.”仅从官能团及其转化角度认识有机化合物,虽可解决多数常见问题,但在处理涉及非典型官能团反应或结构复杂的体系...
有机合成题中未知结构的推断策略
1 问题的提出 新高考背景下,要求学生实现从解题到解决问题模式的转变.研究新高考化学试卷我们发现,不论是全国理综卷还是新高考改革省份化学试卷,均会涉及有机合成框图推断题,原因是该类题能充分考查学生的提取并处理信息能力、推理迁移能力、分析论证...
高考同分异构体命题的三大新趋势
同分异构体作为高考有机化学的核心考点与经典难点,其考查不仅覆盖有机化合物结构特征、官能团性质、不饱和度计算等基础知识,更能深度检验学生的逻辑推理、模型认知与知识迁移能力,是体现化学学科核心素养的重要载体.近年来,随着高考命题改革的深化,同分...
高考有机选择题的选材特点和考查亮点分析
有机选择题不仅考查有机物的组成、结构与性质等基础知识点,更注重结合新情境考查学生的知识迁移能力、证据推理能力及模型认知素养.近年来,高考有机选择题的命题呈现出“情境新颖化、考点综合化、能力层级化”的特点,精准对接新课标中化学学科核心素养的要...

强基 竞赛

重构高中有机热点环加成
化学奥林匹克竞赛作为高素质、高水平的竞赛,一方面推动大学课程与中学课程的衔接,另一方面也对中学化学教学提出更高的要求.第36届化学奥林匹克竞赛初赛第9题考查了有机化学中的环加成反应,该内容也是高中化学重点考查的部分.高中有机化学中的狄尔斯-...

重点辅导

深度回归教材,提升素养能力
热学是高中物理不可缺失的一部分,学生受原有知识的影响对相关知识的理解和应用可能存在问题,尤其面对与图像相关联的物理情境时存在不能梳理出有效信息建立物理模型的情况.本文梳理教材中相关热学图像并加以分析,讨论热力学问题的物理特征,帮助学生理解抽...
动量定理解题方法归纳与应用探究
动量定理体现了力在时间维度上的累积效应,它会引发物体动量的改变,进而使物体的运动状态发生变化.动量定理是高中物理力学中的核心主干知识,也是解决碰撞、冲击等问题的重要规律.许多学生在运用动量定理解决实际问题时会遭遇各种困难,比如忽略动量定理的...
电磁感应定律之线框切割磁感线问题分析
线框切割磁感线问题是电磁感应定律的核心应用,同时也是高考物理的难点之一.本文结合近年来的高考真题,系统剖析线框切割磁感线问题的解题思路,总结多阶段运动中电磁学规律与力学之间的关联,助力学生提升复杂情境下的知识综合应用能力. 1线框切割磁感线...
探究热力学第一定律在循环过程中的能量转换问题
热力学第一定律作为高中物理选择性必修模块的核心内容,其在循环过程中的应用是新高考热学板块的高频考点,着重考查“情境化分析”与“定量计算”的综合运用能力.本文以新高考真题为基础,首先明确热力学第一定律与循环过程的核心概念;接着提炼新高考中循环...
理想气体状态变化图像的系统解析与解题策略
图像问题是高考的必考题型之一,它能够考查学生提取信息、关联转化信息的能力以及运用信息解决问题的能力.图像的本质是物理规律的表征方式,具有规律直观、过程可视、信息丰富的特点.理想气体状态方程是重要的物理知识,它体现了理想气体的压强p 、体积 ...
格氏反应在有机合成中的应用
格氏试剂通式为 RMgX (R为烃基,X为Cl、Br、I是有机合成中重要的亲核试剂,通过其与不同官能团反应,可以合成醇、羧酸、烃类等多种化合物.通过格氏反应合成一些重要的有机化合物是高考考查的热点,题干往往以信息的形式给出反应的原理,综合考...

难点挑战

利用全反射解决水下光源的透光面积问题
几何光学是历年高考的必考点,而光源在水与空气、玻璃与空气界面上的透光面积问题,更是近年来高考的热点.当光源发出的光抵达光密介质与光疏介质的界面时,一部分光会折射进入光疏介质,另一部分光则会发生全反射,返回光密介质,此时界面上便会出现亮区和暗...
多维度赏析简谐运动周期公式的推导与妙用
在中学阶段,简谐运动的周期公式以及单摆周期公式大多是通过探究性实验得出,或者直接给出.而关于这两个公式在理论上如何推导,以及它们之间究竟存在何种关系,却较少被提及.这使得许多学有余力的学生产生了疑惑.本文将从运动学、动力学和能量这三个维度,...
基于“流体与微粒”模型谈动量定理的建模思想
“流体与微粒”模型是高考考查核心素养的重点物理模型,同时也是容易导致失分的典型题型.此模型的核心思想为“化变为恒、化连续为隔离”,借助微元法把变质量、连续运动的流体或微粒转化为能够进行分析的固体微元,其中涉及流体(像水流、气流等)与微粒(如...
分析弹簧中的程序性问题
弹簧是高中物理中的重要模型,相关问题涉及动力学、能量守恒和动量守恒等诸多物理规律.弹簧程序性问题一般由多个运动过程构成,像弹簧的压缩与伸长、物体的碰撞与振动等,其过程繁杂,隐含条件众多,难度较大.本文从“三大观点”(动力学、能量、动量)着手...

方法与技巧

碰撞问题中动量守恒核心思想的解题研究
动量守恒定律是高中物理力学领域的核心重点,特别是在碰撞类问题的相关情境中,具有不可替代的理论价值和解题指导意义.本文以高考物理中出现的碰撞问题为研究对象,系统且清晰地梳理动量守恒定律的适用条件、分类类型以及解题方案.通过对典型例题的详细剖析...
“三阶方程"建模:精准突破变质量理想气体问题
在高中物理热学部分内容中,理想气体状态方程是解决气体问题的核心工具,但其传统用法以“气体质量恒定”为前提.高考命题对变质量理想气体问题的考查趋向情境化、综合化,其核心难点在于气体质量的动态变化,使得原来适用于固定质量的气体状态方程不再直接适...
有序思维突破同分异构体的推断与书写
同分异构体的推断主要考查学生构建分子骨架、分析基团空间位置等关键能力,有助于提升学生分析推理能力及空间想象能力,对培养学生有序思维品质、证据推理与模型认知等化学核心素养有重要意义.本文通过构建有序思维路径突破这一难点. 1构建思维模型 尽管...
品读高考真题 构建知识图谱 突破备考难点
高考有机综合题往往以药物、材料、新物质的合成为载体,从分子式、官能团、化学键变化的视角认识有机物的合成,考查学生信息获取与加工、逻辑推理与论证和辩证思维能力,属于必考题.本文以2024年新课标卷有机化学试题为例,品读高考真题,构建知识图谱,...
从官能团视角突破有机选择题
在高考试卷中,有机选择题主要从官能团的识别、有机物的结构、有机物的化学性质、反应类型及同分异构体等角度设问,且这些设问几乎都与官能团密切相关.因此,准确识别有机物中的官能团,并据此判断有机物的结构、性质和反应类型,是快速且准确解答此类题目的...
有机官能团转化的规律与应用分析
有机官能团转化是高中化学的核心内容,也是高考有机模块高频考点,命题聚焦转化规律迁移,考查反应类型判断、产物推导等能力.本文从核心原理阐释、分类例题剖析、解题策略提炼这3个维度梳理规律,为教学备考提供参考. 1官能团转化的核心原理与基础模型 ...

教与学

夯实作图素养提升学生物理学习能力
提升学习能力旨在更充分地收获学习的成就感,实现更高效、自主的学习.在物理教学中,作图具有极为重要的育人价值,它有助于巩固学习能力的培养,推动学生综合素养的提升. 1作图能力对提升物理学习实效的重要性 作图是学习的一项基本能力.通过作图,能够...
AI赋能课堂提问的精准分析与优化实践
AI课堂分析系统能够实现无感式、伴随式数据采集,可为教师提供客观、全面的教学行为数据,成为教学反思的新型支撑工具.“智能 + 人工”的协同反思机制既规避了传统反思的主观性,又避免了“唯数据论"的机械性.本文构建覆盖“问题类型一互动...
相关杂志
订阅全年后,您可享受以下权益
①该本杂志即日起至未来1年内所有更新电子版杂志的使用权限;
②赠送该杂志的部分往期的杂志的使用权限,有效期1年。

全年订购价格: ¥174.96

订阅全年
--%>

登录龙源期刊网

温馨提示:

1.点击网站右上角的“充值”按钮可以为您的账号充值

2.充值金额可以选择30,50,100或500元

3.充值成功后即可购买网站上的任意杂志或文章

还没有龙源账户? 立即注册

购买杂志

高中数理化

杂志价格:¥7.29元

  • 微信扫码支付
  • 当前余额:100.00

购买杂志

高中数理化

杂志价格:¥7.29元

  • 微信扫码支付
  • 当前余额:¥100.00

    去充值
monitor
客服机器人