双圈图中最大解离集极值问题研究

打开文本图片集
中图分类号:0157.5 文献标志码:A 文章编号:1672-1098(2025)06-0094-06
Abstract: Objective To study the maximum number of vertices in maximum dissociation sets in three types of bicyclic graphs,this work initiates research on extremum problems for disociation sets in bicyclic graphs. Methods By analyzing the characteristics of three types of bicyclic graphs,and using disjoint unions ofspecified vertices in the maximum dissociation set,the extremum problem was transformed into a set operation of disjoint unions.Results Under this transformation,the maximum size of dissociation sets for three types of bicyclic graphs was obtained. Conclusion By transforming the maximum dissociation set extremum problem into a disjoint union set operation of specified vertices,the maximum is precisely determined,providing a research framework for subsequent studies on maximum dissociation sets in bicyclic graphs.
Key words: maximum dissociation set; bicyclic graph; maximum dissociation set extremum; disociation number
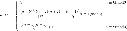
本文考虑的图类是简单无向图,一些未定义的图论概念可参考文献[1]。(剩余8815字)