现代信息科技

现代信息科技

2026年02期
  • 收藏
收藏成功
微博 空间 微信
《现代信息科技》杂志是由广东省科学技术协会主管,广东省电子学会主办的大型优秀科技期刊。本刊始终坚持学术第一的标准和科学、...     展开

类型

半月刊

类别

学术
定价
促销信息
全年订阅更优惠!
¥30.00 ¥18.00
目录

通信工程

密闭空间的无线高速通信研究
摘要:文章针对某研究所密闭空间高速传输需求,开展密闭空间无线高速通信技术研究。通过对主流无线高速通信技术的研究对比,结合实际剖析行业发展方向与关键技术点,提出密闭空间无线高速通信技术方案,并完成实物打样、电路设计及实验测试验证,实现了理论设...
基于矩阵填充的4D毫米波雷达稀疏阵列测角方法
摘要:针对车载4D毫米波雷达稀疏阵列(SLA)因阵元缺失导致角度分辨率受限的问题,文章提出了一种基于矩阵填充的高分辨率测角方法。将稀疏阵列信号映射为低秩Hankel矩阵,填充缺失阵元信号,重构等效ULA;结合MUSIC算法进行波达方向(DO...
基于动态电压频率调整(DVFS)的5G基站低负载功耗优化
摘要:针对5G基站低负载场景下硬件资源利用率不足 30% 引发的能效瓶颈问题,该研究旨在通过动态调控机制降低静态功耗,提升基站绿色节能水平。提出一种基于动态电压频率调整(DVFS)的优化方案,构建了“感知-决策一执行”三级架构。感知层采用 ...

电子工程

基于偏振数据有限层斜方晶系正问题的数值解
摘要:针对有限层斜方晶系结构,研究了其光偏振传输的正问题。通过建立分层传输的矩阵模型,数值求解了给定分子介电张量下激光的传播过程后的偏振数据。系统分析了入射角变化对偏振数据的影响规律,并重点讨论了透射光的偏振数据与液晶分层数量之间的依赖关系...
基于有源电力滤波的光伏并网逆变器
摘要:针对我国高海拔牧区地区电网中谐波污染严重、三相电流不平衡及供电波动频繁等实际问题,设计了一款集三相电压型PWM整流器、并网逆变器与有源电力滤波器功能于一体的多功能双向逆变器。该系统支持储能整流与谐波补偿两种运行模式:在整流模式下,通过...
可燃气体报警控制器的电池管理系统研究及实现
摘要:针对2023版国家标准《可燃气体报警控制器》征求意见稿中对备用电源的新要求,提出了一套针对可燃气体报警控制器的电池管理系统(BMS)设计方案。方案核心在于将备用电源系统中的铅酸电池替换为磷酸铁锂电池,并通过BMS芯片执行数据采集与控制...
移动终端设备双电池切换控制电路设计
摘要:针对终端设备双电池切换管理存在的不稳定、不灵活、高成本等问题,文章提出一种分立元件与MCU相结合的双电池切换控制电路。该电路以分立元件作为电池切换的主体,能够对电池的接入状态迅速做出反应。MCU负责切换的逻辑控制,及检测电池工作的状态...
电子控制组件的散热与力学设计分析
摘要:随着热插拔式电子控制组件在整机系统中的广泛应用,系统对其性能和可靠性的要求变得更加苛刻,而电子控制组件的高效散热与力学性能优化是保障其可靠性与长寿命的关键。针对该问题,开展了电子控制组件的散热与结构设计。文章以机载驱动模块为例,介绍了...
多通道高精度温度测量方法研究
摘要:在工业自动化领域,温度测量模块,往往不能同时兼容热电阻和热电偶的测量,且测量精度低,通道间干扰大。针对上述问题设计了一种多通道高精度温度测量模块。该设计不仅可以实现单个温度测量模块对热电阻热电偶的自适应切换,还涵盖了多种热电阻和热电偶...
X波段大功率行波管收集极的热设计
摘要:X波段大功率行波管是应远程探测雷达的需求研制的,具有频率高、带宽宽等优势,有利于提高雷达成像分辨率,同时还具有较大的功率潜力,可较好兼顾雷达分辨率高和探测距离远的综合要求。针对提升大功率行波管收集极散热性能这一关键挑战,引入有限元分析...
一种多用途直升机的机载数据总线设计与应用
摘要:文章介绍了一种应用在某军贸多用途直升机上的,以MIL-STD-1553B数据总线标准为主,ARINC429/RS422等数据总线标准为辅的机载数据总线设计方案,其中1553B数据总线使用双总线双余度架构将整机航电设备连接成区域网,选择...

人工智能

技工院校多模态生成式AI编程平台的设计与实证研究
摘要:随着生成式人工智能(GenAI)在编程教育中的快速渗透,传统“代码-文本”单模态辅导模式已难以满足网页开发等高可视化场景的认知需求。针对技工院校学生的学习痛点,文章构建了一套多模态可视化编程生成式AI平台(Multi-modal Vi...
基于多源异构数据融合的高速公路交通流预测
摘要:高速公路交通流预测受多因素影响,如节假日、历史交通和气候等,具有复杂的时空依赖性。为解决这一问题,文章提出了一种新的融合数据时空图注意力网络(RSTGCN),专门用于高速公路短时交通流预测。该模型结合了数据预处理、特征融合、时空图注意...
基于BP神经网络的山区震后道路通行度预测模型研究
摘要:以2022年四川马尔康地震触发滑坡为案例,根据震区的地震、地形和地质环境特征,选取了12类滑坡影响因子,利用BP神经网络模型分析地震滑坡危险性,进而构建地震影响区道路通行度预测模型,并评估模型的性能。结果表明:基于BP神经网络算法构建...
基于ASP.NET与深度学习的医学图像分割系统设计与实现
摘要:针对深度学习模型与传统Web信息系统集成中的工程难题,文章设计并实现了一个松耦合、高可用的医学图像分割信息管理系统。系统采用B/S架构,前端基于ASP.NET框架开发用户界面与业务逻辑,后端通过RESTfulAPI调用独立部署的Mas...
基于改进Y0L0v11的路面裂缝检测方法研究
摘要:针对现有算法在细小裂缝检测上的不足,文章提出一种改进YO0LOv11的路面裂缝检测方法,旨在提高道路裂缝检测的准确性和实时性,为道路养护提供有力支持。通过在Backbone引入ContextGuidedDown模块增强纹理与上下文特征...
基于级联YOLO和U-Net的腰椎图像分割模型YOLOMACR-Net
摘要:针对腰椎MRI图像中椎体目标形态多变、背景解剖结构复杂及组织间对比度低,导致现有方法出现关键结构漏检、边缘分割粗糙及参数冗余等问题,提出一种融合多尺度特征增强与级联架构的轻量化腰椎分割模型YOLOMACR-Net。首先,在YOLOv5...
基于图关注推理和注视感知的光伏电池缺陷检测模型
摘要:清洁能源转型中,光伏电池缺陷检测技术对保障组件质量、提升发电效能及防范安全风险至关重要。现有基于电致发光图像的检测方法存在图像噪声强、对比度低及类内特征差异细微等瓶颈。为此,文章提出融合图关注推理与注视感知机制的缺陷检测模型:空间特征...

计算机技术

基于微信小程序的考勤签到系统设计与实现
摘要:随着移动互联网发展,微信小程序凭借便捷特性成为多领域信息化服务首选。在职业教育学生手机近乎全覆盖的背景下,文章设计并实现一套基于微信小程序的考勤签到系统。该系统利用 SpringBoot框架接入微信JSSDK,利用其丰富的开发组件,如...
测控计算机系统双工管理软件设计与优化
摘要:针对航天测控任务计算机系统的双机热备需求开展双工管理软件系统架构和功能设计,对状态检测、切换控制等关键流程进行了详细阐述,可满足物理机、虚拟机等多种部署要求。基于Linux操作系统调用机制提出了系统运行优化策略,经测试验证该策略能够将...
智能舞蹈动作识别平台应用研究
摘要:为解决非艺术类高校舞蹈教师师资力量不足的问题,文章构建了集教学、练习、评分、纠错于一体的智能舞蹈动作识别平台。该平台先识别教师与学生的舞蹈动作,再比对二者动作差异,最终给出评分并提供错误动作矫正方案。对400个实验样本的测试结果显示,...
土地确权登记更新汇交成果质检系统的设计与实现
摘要:针对传统土地确权登记成果质检方法效率低、误差率高的问题,设计了一套基于现代信息技术的质检系统,该系统集成数据导入、预处理、自动质检、人工复核及统计分析功能,通过集成多源数据融合、拓扑验证和分布式计算等关键技术,实现了质检流程的自动化与...
海洋调查监测综合性实验室信息化管理系统的设计与实现
摘要:实验室信息管理系统(LaboratoryInformation Management System,LIMS)是管理和支撑实验室运行检验工作的技术平台,良好的设计、有效的运行是实验室质量管理体系的基础。文章简要回顾了实验室管理系统在实...
基于联合编程的肝包虫病超声图像病灶检测识别系统设计
摘要:基于AI的超声图像目标检测识别算法通常采用Python编程,而Java仍是项目开发的首选语言,基于Java-Python联合编程的超声图像目标检测识别AI信息系统尚不多见。本文尝试基于Java-Python联合编程开展AI信息系统开发...
基于模糊逻辑与深度学习的椒盐噪声移除算法研究
摘要:针对现有卷积神经网络在处理高密度椒盐噪声图像时易出现边缘模糊与细节丢失的问题,文章提出了一种融合模糊逻辑与深度学习的图像去噪算法。该算法引入了一个可学习的软模糊掩码模块,能根据输入图像逐像素估计噪声置信度,并结合改进的深层U-Net网...

信息化应用

基于对接职业教育智慧大脑院校数据中台的实施路径
摘要:为了实施国家教育数字化战略行动,落实职业院校对接职业教育智慧大脑院校数据中台建设要求,文章分析对接任务的10个数据子集中的98张表,梳理并制定本校数据标准,实现了数据汇聚、存储、运算、开发、服务、可视化分析、质量安全管控一体化,利用C...
铁路集装箱智能化作业关键技术研究
摘要:该研究系统探讨了铁路集装箱智能化作业的关键技术及应用成效。通过构建智能远程控制系统与生产管理系统深度融合的技术平台,实现了装卸作业从传统人工模式向智能化模式的转型。研究重点突破了3项核心技术:自动控制与精确定位、网络通信保障以及多层次...
多模终端测试平台数据准确性的评价方法研究
摘要:支持4G/5G、天通、自组网等多种通信模式的终端测试过程较复杂,需要使用天通综测仪、LTE综测仪、频谱分析仪、功率计等多种仪器。为提高测试效率,近年来已研制出多类综合测试平台。该类设备采用嵌入式芯片,内部集成多种通信协议,通过对被测信...
数字人技术在课程知识问答中的应用研究
摘要:以信息安全技术课程为例,对数字人技术在课程知识问答中的应用进行了研究。从应用场景、技术实现流程和实践案例三方面展开分析,设计了多模态输入解析、知识库交互与溯源式应答、智能体驱动课件生成及数字人多模态呈现的技术流程。研究结果表明,该技术...
基于改进RSEI的巴彦淖尔市生态环境质量分析
摘要:基于2000—2023年Landsat遥感影像,文章构建改进遥感生态指数(RSEI),将原有干度指标NDBSI替换为地表裸土指数(SI),以系统评估巴彦淖尔市生态环境质量。通过主成分分析、相关性检验及时序趋势分析,揭示区域生态质量的时...
站场SCADA系统技术研究与应用
摘要:为加速推进自动化技术、信息技术在天然气站场的应用研究,推动相关技术与业务的深度融合,开展了针对站场自控系统的研究与技术攻关。通过自主研发与设计,成功构建了一套满足契合站场提质增效技术要求的SCADA系统。该系统实现了站场高效的运行,劳...

物联网

物联网医院能源管理平台设计与节能效果分析
摘要:针对医院传统能源管理模式在节能与可靠性间难以兼顾的问题,文章构建了基于物联网的边缘-云端协同新型医院能源管理平台,平台采用改进粒子群优化算法与强化学习算法,通过边缘-云端协同方式分区采集与处理数据,结合上层权重分配与下层调控的双层算法...
家用智能鱼缸控制系统设计
摘要:本设计围绕家用智能鱼缸水环境检测展开,旨在为鱼类营造更舒适的生存环境。设计以集成度高、功能强、响应快的STC89C52单片机为核心,采用DS18B20温度传感器检测水温,通过TS-300B型浑浊度传感器实时监控水质等级;传感器连接器件...
基于北斗和NB-IoT智能应急救援头盔
摘要:为了减少在紧急救援活动中的伤亡并提高紧急救援效率,设计了一种智能应急救援头盔,该设计采用北斗定位技术与NB-IoT通信技术,通过MQ-2与DHT11传感器分别采集烟雾浓度及环境温湿度数据,并借助BC26与ATK-1218-BD模块,基...
船舶数字孪生目前存在的物联网安全威胁综述
摘要:随着船舶行业数字化转型的加速,数字孪生技术通过物理船舶与数字化模型的实时交互,显著提升了船舶设计、制造与运维效率。然而,物联网环境下的船舶数字季生系统面临多重安全威胁。文章系统分析了船舶数字李生技术的核心架构与应用场景,并聚焦其面临的...
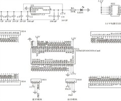
基于STM32单片机的智能桌面宠物系统研究
摘要:随着智能硬件技术的快速发展,传统桌面宠物逐渐向交互式、智能化方向演进。该智能桌面宠物系统以STM32F103C8T6单片机为核心控制器,通过SG90舵机组、OLED显示屏和语音模块构建动态交互体系。硬件设计采用模块化架构,支持5VUS...
相关杂志
  • 中国商论

    中国商论

    2026年09期
    ¥17.49
  • 中外建筑

    中外建筑

    2026年03期
    ¥9.90
  • 河南科技

    河南科技

    2026年08期
    ¥6.00
  • 海洋开发与管理

    海洋开发与管理

    2026年02期
    ¥21.69
  • 计算机应用文摘

    计算机应用文摘

    2026年09期
    ¥9.00
  • 社会科学研究

    社会科学研究

    2026年03期
    ¥9.00
  • 现代信息科技

    现代信息科技

    2026年08期
    ¥18.00
  • 湖南大学学报(社会科学版)

    湖南大学学报(社会科学版)

    2025年06期
    ¥12.00
  • 中国调味品

    中国调味品

    2026年04期
    ¥0.00
  • 民主与科学

    民主与科学

    2026年01期
    ¥3.39
  • 计算技术与自动化

    计算技术与自动化

    2025年04期
    ¥10.89
  • 中西医结合心脑血管病杂志

    中西医结合心脑血管病杂志

    2026年10期
    ¥4.00
订阅全年后,您可享受以下权益
①该本杂志即日起至未来1年内所有更新电子版杂志的使用权限;
②赠送该杂志的部分往期的杂志的使用权限,有效期1年。

全年订购价格: ¥432.00

订阅全年
--%>

登录龙源期刊网

温馨提示:

1.点击网站右上角的“充值”按钮可以为您的账号充值

2.充值金额可以选择30,50,100或500元

3.充值成功后即可购买网站上的任意杂志或文章

还没有龙源账户? 立即注册

购买杂志

现代信息科技

杂志价格:¥18.00元

  • 微信扫码支付
  • 当前余额:100.00

购买杂志

现代信息科技

杂志价格:¥18.00元

  • 微信扫码支付
  • 当前余额:¥100.00

    去充值
monitor