注册帐号丨忘记密码?
1.点击网站首页右上角的“充值”按钮可以为您的帐号充值
2.可选择不同档位的充值金额,充值后按篇按本计费
3.充值成功后即可购买网站上的任意文章或杂志的电子版
4.购买后文章、杂志可在个人中心的订阅/零买找到
5.登陆后可阅读免费专区的精彩内容
打开文本图片集
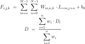
引言
当前,居民密集区火灾防控形势严峻,亟须引入大数据、物联网、人工智能等技术手段,推动传统消防向智慧化转型。因此,应立足智能化火灾预防,以智慧消防技术为支撑,设计并构建覆盖实时监测、风险预警与智能研判的一体化系统与算法模型,从而打造适用于居民密集区的智慧消防平台,实现对火灾风险的精准识别与高效处置。(剩余3050字)
登录龙源期刊网
购买文章
智慧消防技术在居民密集区火灾预防中的应用研究
文章价格:4.00元
当前余额:100.00
阅读
您目前是文章会员,阅读数共:0篇
剩余阅读数:0篇
阅读有效期:0001/1/1 0:00:00