注册帐号丨忘记密码?
1.点击网站首页右上角的“充值”按钮可以为您的帐号充值
2.可选择不同档位的充值金额,充值后按篇按本计费
3.充值成功后即可购买网站上的任意文章或杂志的电子版
4.购买后文章、杂志可在个人中心的订阅/零买找到
5.登陆后可阅读免费专区的精彩内容
打开文本图片集
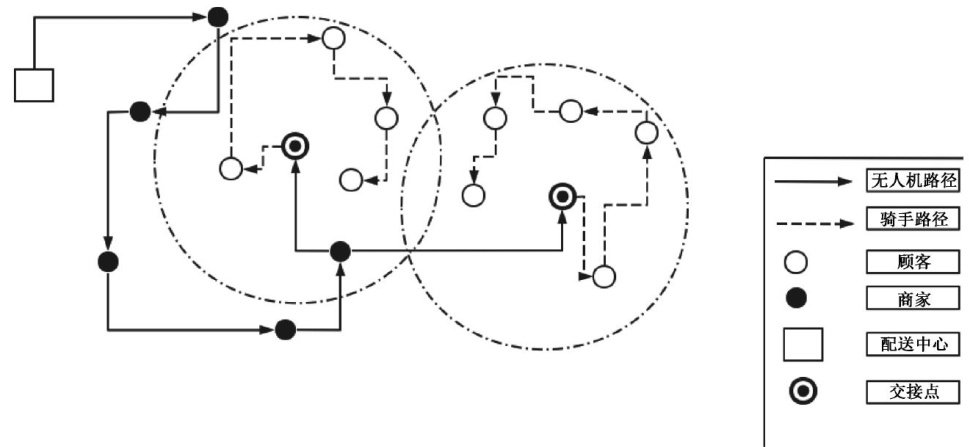
关键词:外卖配送;无人机;联合配送;路径优化;野狗优化算法中图分类号:C93 文献标识码:A 文章编号:1004-6062(2026)01-0262-012DOI:10.13587/j.cnki. jieem.2026.01.018
0 引言
近年来,随着互联网的快速发展和人们生活节奏的加快,外卖已经成为了人们生活中的一种普遍消费模式。(剩余20245字)
登录龙源期刊网
购买文章
基于改进野狗优化算法的无人机-骑手联合外卖配送路径优化
文章价格:6.00元
当前余额:100.00
阅读
您目前是文章会员,阅读数共:0篇
剩余阅读数:0篇
阅读有效期:0001/1/1 0:00:00