注册帐号丨忘记密码?
1.点击网站首页右上角的“充值”按钮可以为您的帐号充值
2.可选择不同档位的充值金额,充值后按篇按本计费
3.充值成功后即可购买网站上的任意文章或杂志的电子版
4.购买后文章、杂志可在个人中心的订阅/零买找到
5.登陆后可阅读免费专区的精彩内容
打开文本图片集
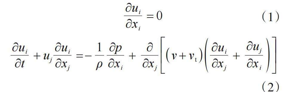
摘 要 为了研究地铁隧道联络通道防火门表面的活塞风压特征,基于OpenFOAM开源软件,建立了地铁隧道三维非稳态流动模拟模型,并使用动网格方法模拟了地铁列车在隧道内的实时运动。通过与既有试验数据的对比,发现该方法能够准确地模拟地铁隧道内的风环境。在此基础上,建立了完整的足尺地铁隧道-联络通道复合模型,分析了不同行车速度、不同联络通道设计和不同测点距离下防火门的表面风压及其周边的流动特征。(剩余11808字)
登录龙源期刊网
购买文章
基于OpenFOAM地铁隧道防火门的活塞风作用时变特性研究
文章价格:6.00元
当前余额:100.00
阅读
您目前是文章会员,阅读数共:0篇
剩余阅读数:0篇
阅读有效期:0001/1/1 0:00:00