注册帐号丨忘记密码?
1.点击网站首页右上角的“充值”按钮可以为您的帐号充值
2.可选择不同档位的充值金额,充值后按篇按本计费
3.充值成功后即可购买网站上的任意文章或杂志的电子版
4.购买后文章、杂志可在个人中心的订阅/零买找到
5.登陆后可阅读免费专区的精彩内容
打开文本图片集
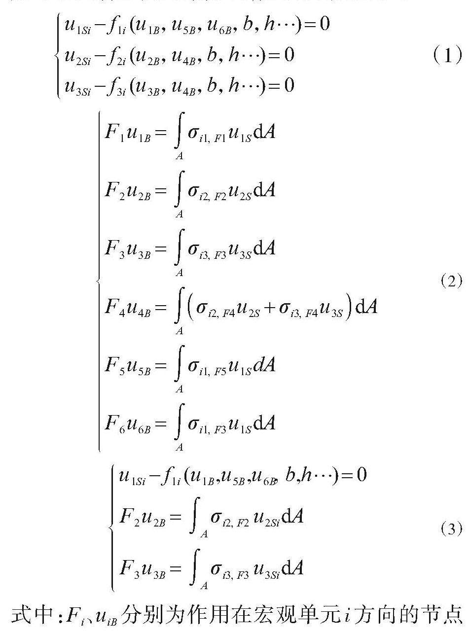
摘 要 网架结构的施工过程模拟多采用杆系模型,不能反映网架节点以及顶升处的复杂应力情况,容易导致网架结构施工过程出现安全隐患,为此提出了基于多尺度有限元的网架结构施工过程分析方法。首先对比了位移协调、做功协调以及二者组合的多尺度有限元界面连接模型。随后以济宁北站网架结构施工过程为例,通过多尺度有限元分析了三种典型施工方案下的结构力学响应。(剩余16934字)
登录龙源期刊网
购买文章
基于多尺度有限元的网架结构施工过程分析
文章价格:6.00元
当前余额:100.00
阅读
您目前是文章会员,阅读数共:0篇
剩余阅读数:0篇
阅读有效期:0001/1/1 0:00:00