注册帐号丨忘记密码?
1.点击网站首页右上角的“充值”按钮可以为您的帐号充值
2.可选择不同档位的充值金额,充值后按篇按本计费
3.充值成功后即可购买网站上的任意文章或杂志的电子版
4.购买后文章、杂志可在个人中心的订阅/零买找到
5.登陆后可阅读免费专区的精彩内容
打开文本图片集
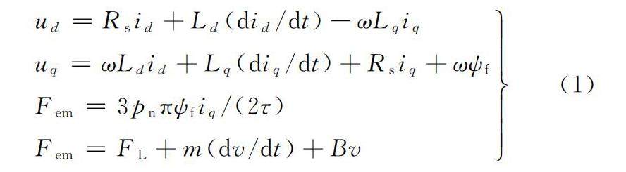
摘要:为了提高永磁同步直线电机(PMLSM)的跟随精度,提出了一种基于闭环辨识模型的分数阶反馈控制方法,通过对反馈控制系统误差幅值特性进行特定分数阶次形式的精准调节来有效抑制PMLSM的跟随误差。该方法推导了PMLSM闭环辨识模型,通过误差幅值特性分析,确定了分数阶超前-滞后补偿器参数选定方法,以实现分数阶反馈控制系统对PMLSM控制频域特性的准确描述,进而提高PMLSM辨识精度及控制性能。(剩余12922字)
登录龙源期刊网
购买文章
基于闭环辨识模型的永磁同步直线电机分数阶反馈控制方法
文章价格:6.00元
当前余额:100.00
阅读
您目前是文章会员,阅读数共:0篇
剩余阅读数:0篇
阅读有效期:0001/1/1 0:00:00