新型城镇化视角下厦漳泉地区生态效率研究

打开文本图片集
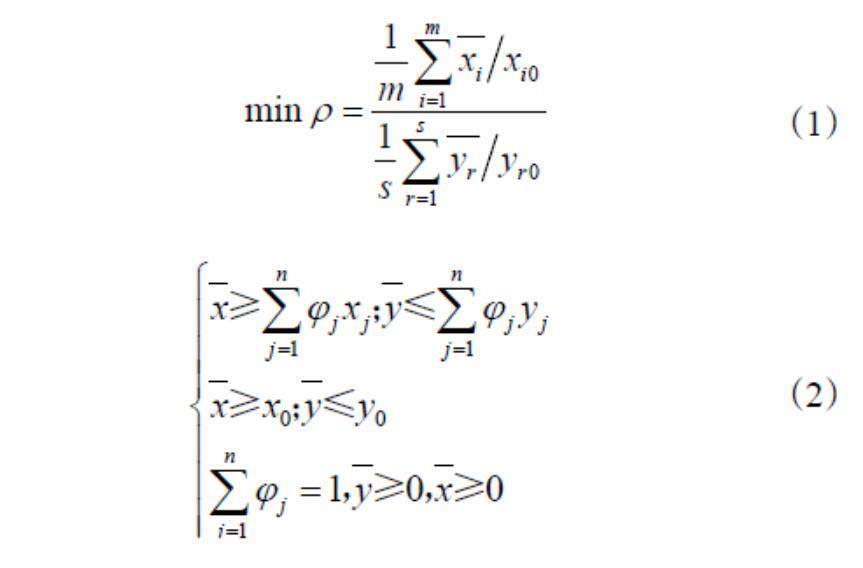
[摘 要] 采用超效率DEA模型测算2005—2020年厦漳泉地区28个县域的生态效率,初步研究了城镇化水平和区域生态效率的关系,并在此基础上剖析厦漳泉地区生态效率的空间格局及其演变差异。研究结果表明:厦漳泉地区城镇化水平和生态效率协同发展效应不明显,并表现出差异化发展趋势;厦漳泉地区不同区域的生态效率差异较大,高值区域主要分布在泉州市德化县、永春县、安溪县、长泰区、鲤城区、丰泽区、晋江市、石狮市和厦门市湖里区、思明区、海沧区,低值区域主要分布在漳州市西部和南部(如华安县、芗城区、龙文区、南靖县、平和县、漳浦县、云霄县和诏安县);部分区域的生态效率呈提升或退化现象。(剩余4365字)