乡村科技

乡村科技

2022年20期
  • 收藏
收藏成功
微博 空间 微信
《乡村科技》是经国家新闻出版署批准,由河南省科技厅主管,面向国内外公开发行的一本优秀农业科技刊物,荣获2013年度河南省...     展开

类型

半月刊

类别

农业乡村
定价
促销信息
全年订阅更优惠!
¥20.00 ¥12.00
目录

三农资讯

科技特派员助力柘城县大豆玉米带状复合种植见成效
“今年我的400亩大豆玉米带状复合种植喜获丰收,每亩地收玉米超千斤、大豆200斤以上,感谢科技特派员对我们的全程技术指导!”柘城县瑞源家庭农场负责人高兴地向科技特派员李作明报喜,并对科技特派员的技术服务表示满意与感谢。 截至2022年10月...
河南省科技特派员赴遂平县指导多花黑麦草防治
在小麦播种期临近之际,遂平县常庄镇小麦种植户及专业合作社人员向遂平县科技特派员工作站反映,2021年大多数小麦田块多花黑麦草危害严重,难以防治,2022年若不提前着手防治,将导致2023年小麦大幅减产,因此,请求特派员工作队解决黑麦草技术难...
河南省肉牛产业科技特派员服务团到光山县开展技术培训服务
2022年10月11—13日,在河南省科学技术厅驻光山县罗陈乡周湾村第一书记王备战的组织下,河南省肉牛产业科技特派员服务团(以下简称服务团)专家闫祥洲、张子敬等一行3人,来到该村开展技术培训服务,并捐赠生产物资。 在光山县罗陈乡周湾村周湾养...
河南省科技特派员赴虞城县开展麦播技术专项培训
小麦是虞城县一大优势粮食作物。为切实做好麦播技术服务工作,扛稳粮食安全重任,2022年10月11日上午,在虞城县科技特派员办公室陈海峰主任的带领下,河南省科技特派员张格良、曹海昌、李立冬到闻集乡王楼村开展麦播技术专项培训,50多位农民朋友参...

乡村振兴

农村宅基地退出机制存在问题及对策
[摘 要] 随着我国经济的不断发展,大量农村人口流入城市,导致大批农村宅基地闲置甚至荒废,宅基地退出工作成为改革的重要一环。分析农村宅基地退出面临的退出程序不健全、补偿机制不明确、退出保障机制不完善及退出后土地利用机制低效等现实问题,提出健...
大学生社会实践服务乡村振兴存在的问题及对策
[摘 要] 大学生社会实践是实施乡村振兴战略的有力抓手和具体举措,也是高校发挥实践育人功效的重要途径。但是,当前大学生社会实践服务乡村振兴面临各主体联动性不足,尚未形成聚合力;大学生对乡村振兴认识不足,尚未形成推动力;相关政策制度有待完善,...
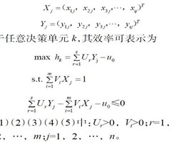
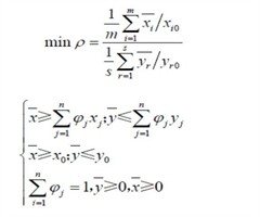
新型城镇化视角下厦漳泉地区生态效率研究
[摘 要] 采用超效率DEA模型测算2005—2020年厦漳泉地区28个县域的生态效率,初步研究了城镇化水平和区域生态效率的关系,并在此基础上剖析厦漳泉地区生态效率的空间格局及其演变差异。研究结果表明:厦漳泉地区城镇化水平和生态效率协同发展...
大湘西地区粮食生产与农业结构调整的协调性分析
[摘 要] 选取2005—2020年反映大湘西地区粮食生产与农业结构调整水平的数据,通过定性与定量相结合的分析方法,研究大湘西地区粮食生产与农业结构调整之间的协调性。结果显示,大湘西地区粮食生产与农业结构调整之间关系在多数年份处于不协调状态...
特色农产品品牌建设助力乡村振兴路径研究
[摘 要] 在乡村振兴战略背景下,推进特色农产品品牌建设具有重要意义。以陕西省旬阳市拐枣产业为例,分析了当前旬阳市拐枣产业发展现状,开展旬阳拐枣系列产品需求问卷调查,得出大部分消费者对拐枣产业未来发展持积极态度的结论。对旬阳市拐枣产业进行S...
基于SWOT分析的吉林省农业气象服务体系建设研究
[摘 要] 随着农业现代化建设持续推进,目前我国做出保护黑土地的重大部署,要求通过强化农业气象服务,稳定粮食基础生产能力,保障农产品供给。基于此背景,在总结当前吉林省农业气象服务体系建设情况的基础上,利用SWOT分析探究气象服务体系建设战略...
河北省数字乡村发展水平综合评价研究
[摘 要] 近年来,数字乡村建设已经成为我国实现农业农村现代化的重要手段,也是促进乡村振兴的一个重要抓手。为促进河北省数字经济与农村经济融合发展,利用熵值法对河北省11个地级市的数字乡村发展水平进行综合评价。结果表明,河北省数字乡村发展势头...

农业经济

农户小额贷款风险防控策略探讨
[摘 要] 在乡村振兴背景下,越来越多的金融机构面向农户推出小额贷款服务。这些小额贷款服务虽然对农民创业致富、推动农村经济发展等给予了极大的支持,但也在一定程度上提升了农户小额贷款不良贷款率,致使金融机构面临风险隐患。针对这一问题,从信用风...
都江堰市乡村旅游业发展现状及对策
[摘 要] 乡村旅游业是我国旅游产业的重要组成部分。随着我国脱贫攻坚战取得全面胜利,农村地区的各项基础设施、公共服务功能得到完善,加之当前人们更加追求安全、小众的旅游方式,使乡村旅游业发展潜能越来越大。都江堰市是四川省最早发展乡村旅游业的地...
植物新品种权质押融资模式的适用困境及解决机制
[摘 要] 在我国现有的经济结构和市场体制下,融资难是制约农业发展的一大问题。由于融资难,许多拥有植物新品种权的农业中小企业发展裹步不前,而植物新品种权质押融资作为农业中小企业的融资新方式,有着广阔的发展前景。但是,植物新品种权质押融资业务...
陕西省乡村旅游与数字文化产业融合发展的耦合分析
[摘 要] 为研究旅游与文化产业的天然耦合性,利用耦合分析法对陕西省乡村旅游和数字文化产业融合发展水平进行实证分析。结果表明,陕西省乡村旅游与数字文化产业融合发展水平有待进一步提升。陕西省可通过创新乡村旅游发展理念、大力发展数字文化产业等措...
乡村振兴背景下开展农业经济信息化管理策略分析
[摘 要] 党的十九大报告明确提出要加快推进乡村振兴战略实施,优先发展农业农村,促进“三农”问题得到切实解决,提升农民生活水平。加强农业经济管理是乡村振兴战略深入推进的重要手段。分析乡村振兴背景下农业经济信息化管理发挥的巨大作用,探讨当前农...
梅州市梅县区茶产业发展现状及对策
[摘 要] 茶产业是广东省梅州市梅县区的重要产业。调查发现,梅县区茶产业发展存在茶叶品质偏低、茶叶品牌知名度低、龙头企业不足、产业融合发展不足和产业人才短缺等问题。为充分发挥区域特色茶产业发展优势,积极推进茶产业提质增效,助力乡村振兴,梅县...
电商环境下我国农村商品流通体系探究
[摘 要] 农村商品流通体系是我国商品流通体系的重要组成部分,对流通网络的整体构建意义重大。以电商环境下我国农村商品流通中的“三流”为切入点,分析发现当前我国农村商品流通中存在流通网络布局散乱,贸易现代化程度低、商品流通环节受阻,专用物流设...
水利水电工程农村移民安置点旅游开发优势、面临问题及对策
[摘 要] 在国家大力推动乡村振兴战略实施的背景下,发展乡村旅游业是建设产业兴旺、生态宜居、生活富裕新农村的重要措施。水利水电工程征地建设会产生大规模的农村移民。利用水利水电工程建设所形成的自然景观资源和移民安置区特有的民俗文化资源开发观光...

栽培育种

柳州市林下套种鸡血藤栽培技术
[摘 要] 鸡血藤是广西壮族自治区的道地药材,为多种中成药的重要原材料。近年来,由于野生鸡血藤资源不断减少,柳州市利用丰富的林地资源开展林下套种鸡血藤,取得了显著的生态效益和经济效益。简要介绍鸡血藤功效及生物学特性,对柳州市林下套种鸡血藤栽...
钙镁硅钛中量元素肥在生菜上的施用效果
[摘 要] 通过钙镁硅钛中量元素肥料单因素大田试验,分析补充钙镁硅钛中量元素肥对生菜提质增产的具体效果。结果表明,在施用大量元素肥的基础上,增施钙镁硅钛中量元素肥能够显著提升生菜生长指标值及生理指标值,具体表现为株高、茎基直径和单株质量增加...
威海市不同成熟度青皮无花果春果的形态和质构分析
[摘 要] 为给无花果的保鲜、贮藏提供理论依据,以山东省威海市青皮无花果春果作为试验材料,对不同成熟度无花果春果的形态特征及质构特性进行分析,研究不同成熟度无花果春果的形态特征和质构变化趋势。结果表明,无花果春果单果质量由七成熟时的59.9...
辐照后生物质寡糖对植物生长的影响
[摘 要] 为探究海藻酸钠和卡拉胶寡糖对植物生长的促进作用,利用电子束辐照技术制备海藻酸钠和卡拉胶寡糖,并配制一系列浓度梯度的寡糖溶液,采用溶液培养的方法研究其对部分叶菜和芽菜类植物生长的影响。结果表明,与空白组(清水浸种+清水喷洒)相比,...
马铃薯高产栽培技术与病虫害防治措施
[摘 要] 马铃薯既是一种粮食与蔬菜兼用型作物,也是推动畜牧业发展的饲料原料之一,具有口感优、营养高、适应能力强等特点。病虫害作为影响马铃薯产量与质量的首要因素,严重制约马铃薯产业可持续发展。基于此,从选地整地、科学选种、种薯处理、播种、田...

畜牧兽医

牛瘤胃积食的症状、发病原因及诊断与防治
[摘 要] 在牛的众多疾病中,瘤胃积食尤为常见。为更好地防治牛瘤胃积食,阐述牛瘤胃积食症状,研究总结牛瘤胃积食的发病原因,如养殖户饲喂不科学、牛身体素质较差、肠胃疾病诊疗不及时、牛异食癖继发等,总结了牛瘤胃积食的诊断要点,并提出了包括树立科...
猪出血性败血症的防控方法
[摘 要] 猪出血性败血症是生猪养殖中比较常见的急性、热性传染病,由猪感染多杀性巴氏杆菌导致,分为最急性型、急性型、慢性型三大类型,其中最急性型与急性型对猪的致死率较高,严重影响生猪养殖效益。该病通过病猪与带菌猪分泌物、排泄物传播,四季均可...
猪丹毒的屠宰检疫与综合防控措施
[摘 要] 猪丹毒是由红斑丹毒丝菌(Erysipelothrix rhusiopathiae)引起的一种急性、热性传染病。该病在全世界广泛发生于养猪场,各日龄段猪均可感染,临床上主要分为急性型、亚急性型、慢性型,患病猪主要表现为体温升高、精...
牛常见病及其防治措施
[摘 要] 随着养牛业的迅速发展,牛常见病的发生率大大提高。为促进养牛业健康发展,总结了如牛腹泻、腐蹄病、脱毛癣、牛结节性皮肤病等常见病的发病特点和发生原因,并针对其提出防治措施,以期为养殖户提供技术参考。 [关键词] 牛病;疾病类型;发病...
基层乡镇畜牧兽医站重大动物疫病防治工作现状及策略
[摘 要] 畜牧养殖场暴发重大动物疫病,除了会直接影响养殖户的经济效益,还有可能危及社会公共卫生安全。因此,加强重大动物疫病防治具有重要意义。但是,多数基层乡镇畜牧兽医站在开展重大动物疫病防治工作过程中存在养殖户动物疫病防控意识差、禽畜档案...
乳酸菌在水生动物养殖中的应用研究综述
[摘 要] 乳酸菌是对一类能够利用可发酵碳水化合物产生大量乳酸的细菌的统称,是目前应用较为广泛的一种益生菌。在水生动物养殖中,科学应用乳酸菌可以促进水生动物生长、提高饲料利用率、提升水生动物机体免疫力、有效改善水质等。针对乳酸菌在主要水生养...

园林绿化

广州市天河公园边界空间“拆围透绿”模式研究
[摘 要] 边界空间是体现城市公园开放性的重要因素,是衔接城市公园、城市公共空间与城市绿地系统的重要部分。以广东省广州市天河公园“拆围透绿”工程为例,简要介绍天河公园“拆围透绿”工程概况,基于“边界连通、功能优化、景观融合”的理念,提出“拆...
城市老公园景观改造提升策略探讨
[摘 要] 随着我国经济的发展和城市化进程的推进,现有的城市老公园已难以满足当下城市居民的日常生活需求,而城市老公园改造是城市公园跟随城市发展的主要方式。以福建省福州市茶亭公园荷风月影林下空间改造为例,简要介绍公园概况,分析公园改造的必要性...

资源与环境

废旧地膜机械化回收存在的问题及其综合利用建议
[摘 要] 近年来,大量农田地膜残留在土壤中,导致土壤肥力下降。因此,加强废旧地膜机械化回收及综合利用具有重要意义。针对现阶段废旧地膜机械化回收中存在的耕前废旧地膜回收困难、机械设备超负荷工作、耕作层废旧地膜回收困难等问题,提出加大宣传和扶...
延安市全域土地综合整治研究
[摘 要] 如何在现有资源环境约束下,既保证生态保护的迫切要求,又保证对建设用地的需求,同时实现保护耕地、合理补充耕地的目标,是陕西省延安市各级政府和研究人员当下关注的重点问题。在延安市推行全域土地综合整治,既能有效缓解“双保”压力,又能为...
耕地土壤重金属污染概述及安全利用技术研究
[摘 要] 耕地是农业最基本的生产资料,是支撑农业可持续发展的宝贵资源。近年来,随着我国工业化进程的不断加快,重金属等污染物质在土壤中不断累积,导致耕地土壤环境质量下降。基于此,概述当前我国土壤重金属污染状况,综述农艺调控、土壤改良、生物修...
赤水河云南段秋冬季浮游动物多样性分析
[摘 要] 为了解赤水河云南段秋冬季浮游动物群落结构特征,分别于2021年11月和2022年1月在赤水河云南段设置6个采样点进行两次采样分析。调查结果显示,共检测出浮游动物4类16种,其中原生动物9种、轮虫4种、枝角类2种、桡足类1种;秋、...
德兴市农村生活污水治理现状及建议
[摘 要] 开展污水治理是改善农村环境质量的主要途径之一,是促进城乡融合发展的关键支撑,是提升生态文明建设效力的重要措施。以江西省上饶市德兴市为例,介绍了农村生活污水的产生与排放情况,细致调查了德兴市农村污水治理现状,分析总结了治理过程中遇...
甘薯对低浓度镉、锌的分配累积特征及土壤安全临界值研究
[摘 要] 通过添加不同质量浓度重金属镉(Cd)、锌(Zn)进行盆栽试验,研究了广西壮族自治区桂林市土壤重金属Cd、Zn在甘薯[Dioscorea esculenta (Lour.) Burkill]可食用部位的累积特征,探讨了Cd、Zn在...
兴平市野生菊科植物资源调查研究
[摘 要] 我国菊科植物资源丰富,具有良好的市场开发价值。通过实地调查、查阅文献等方法,对陕西省咸阳市兴平市菊科植物资源的种类、分布等进行研究。调查结果显示,兴平市菊科植物分布范围广、种类多,但没有大规模的生长或种植区域,较小范围成片生长的...

农业工程

木腐菌宜机栽培筐及系列采菇机创设研究与应用
[摘 要] 目前,我国食用菌栽培方式以袋栽为主,难以实现包含采菇在内的全程机械化生产,无法满足食用菌产业升级要求。在此背景下,研究创设出可应用于多种食用菌生产,且具备填料效率高、全氧发菌、全程宜机等优势的“免瓶(袋)食用菌栽培筐”,并在此基...
基于DEA模型的江苏省农业机械化效率分析
[摘 要] 农业机械化是加快农业发展进程的助推器,是提高农业生产效率、促进农业增收、提升农业生产经济效益的重要保障。在乡村振兴战略背景下,大力推进农业机械化生产是必然举措。运用DEA模型并结合相关文献,对江苏省9个地级市2015—2020年...
农田水利工程防渗渠道施工影响因素及对策
[摘 要] 我国农业发展对农田水利工程的依赖性较高,农田水利工程在保护农业生态环境、提高粮食产量、蓄水控湿等方面发挥着显著作用,而农田水利工程中的防渗渠道施工是保障项目质量的施工重点。基于此,着重分析农田水利工程中防渗渠道施工的影响因素、渗...
一款乡旅类App“到乡间去”的设计研究
[摘 要] 在阐明乡旅类App“到乡间去”设计背景的基础上,首先分析乡旅类App研发现状,其次通过市场分析与用户调研构建起满足村落与青年人、青年人与青年人之间交流需求的App功能架构系统,最后完成“到乡间去”界面视觉设计,设计出一款符合消费...
相关杂志
  • 农家书屋

    农家书屋

    2026年02期
    ¥20.00
  • 新农业

    新农业

    2025年11期
    ¥3.69
  • 农村百事通

    农村百事通

    2026年03期
    ¥6.00
  • 中国瓜菜

    中国瓜菜

    2026年03期
    ¥3.00
  • 农民科技培训

    农民科技培训

    2026年03期
    ¥4.29
  • 农民致富之友

    农民致富之友

    2026年09期
    ¥12.00
  • 农产品市场

    农产品市场

    2026年04期
    ¥6.00
  • 江苏农业学报

    江苏农业学报

    2026年02期
    ¥6.00
  • 果农之友

    果农之友

    2026年03期
    ¥2.49
  • 浙江林业

    浙江林业

    2026年02期
    ¥4.89
  • 天津农业科学

    天津农业科学

    2026年02期
    ¥3.00
  • 村委主任

    村委主任

    2026年05期
    ¥2.00
订阅全年后,您可享受以下权益
①该本杂志即日起至未来1年内所有更新电子版杂志的使用权限;
②赠送该杂志的部分往期的杂志的使用权限,有效期1年。

全年订购价格: ¥432.00

订阅全年
--%>

登录龙源期刊网

温馨提示:

1.点击网站右上角的“充值”按钮可以为您的账号充值

2.充值金额可以选择30,50,100或500元

3.充值成功后即可购买网站上的任意杂志或文章

还没有龙源账户? 立即注册

购买杂志

乡村科技

杂志价格:¥12.00元

  • 微信扫码支付
  • 当前余额:100.00

购买杂志

乡村科技

杂志价格:¥12.00元

  • 微信扫码支付
  • 当前余额:¥100.00

    去充值
monitor
客服机器人