新型滑模自抗扰起重机电机控制系统研究

打开文本图片集
中图分类号:TM351 文献标识码:A DOI:10.7535/hbkd.2026yx01005
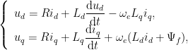
Abstract: In order to enhance the response speed of the permanent magnet synchronous motor(PMSM) in cranes and the robustness ofthesystem,animproved indexlaw wasproposed.Thenew sliding modecontrol(NSMC)inthespeed loop was adopted based on field-oriented control(FOC).A new function f(s) was introduced to enhance the response speed at which the system state variables approached the sliding mode surface. The sign function sign(s) was replaced by a continuous function h(s) to reduce the chatering caused by the discontinuity of the sign function. A new extended state observer(NESO)was designedto observe disturbancesand furtheroptimize the spedcontroler.Thefal(s)function in traditional observer was replaced by a nonlinear smooth function K(s) to eliminate chattering and improve the observation accuracy of the observer. Theresults show thatthe motorsped is stableatapproximatelyO.O5safter starting,with a speed oscilationof about10r/min It verifies thecorrectness of thecontrolleralgorithm.Thedesigned algorithmcan effectively improve theresponse speed of the system and provide reference for the control of PMSM in cranes.
Keywords:electrical machinery;permanent magnet synchronous motor;new sliding mode control;new extended state observer;chattering;crane
起重机械是现代生产中重要的搬运设备,广泛应用于车间、码头、港口等地方。(剩余10705字)