注册帐号丨忘记密码?
1.点击网站首页右上角的“充值”按钮可以为您的帐号充值
2.可选择不同档位的充值金额,充值后按篇按本计费
3.充值成功后即可购买网站上的任意文章或杂志的电子版
4.购买后文章、杂志可在个人中心的订阅/零买找到
5.登陆后可阅读免费专区的精彩内容
打开文本图片集
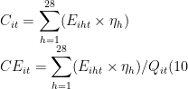
在全球气候治理的背景下,各国都在积极寻求减少温室气体排放的有效途径。二氧化碳( CO2 )是主要温室气体之一,碳排放问题尤为突出。中国作为全球最大的碳排放国,电力行业贡献 40% 以上的碳排放量。因此,深人分析碳排放因子时空变化对制定政策、优化能源结构等意义重大。然而,现有研究多采用实测法或排放因子计量,存在常年不变、实时性差问题,影响各方对减碳的信心和动力。(剩余3627字)
登录龙源期刊网
购买文章
中国省域电力碳排放因子变化及影响因素研究
文章价格:4.00元
当前余额:100.00
阅读
您目前是文章会员,阅读数共:0篇
剩余阅读数:0篇
阅读有效期:0001/1/1 0:00:00