注册帐号丨忘记密码?
1.点击网站首页右上角的“充值”按钮可以为您的帐号充值
2.可选择不同档位的充值金额,充值后按篇按本计费
3.充值成功后即可购买网站上的任意文章或杂志的电子版
4.购买后文章、杂志可在个人中心的订阅/零买找到
5.登陆后可阅读免费专区的精彩内容
打开文本图片集
中图分类号:0175.12 文献标志码:A DOI:10.13338/j.issn.1674-649x.2025.06.016
0引言
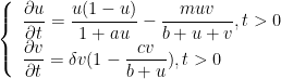
探讨捕食者与猎物之间的相互作用已经成为种群生态学中的一个重要挑战,这种研究不仅对生态学和生物学领域至关重要,同时也在数学上具有重要意义。自Lotka-Volterra[1-2]系统提出以来,探究种群系统的演化特征成为一大热点并取得了许多有价值的成果[3-6]。(剩余14950字)
登录龙源期刊网
购买文章
一类具有Smith增长率和扩散的捕食系统的分岔分析
文章价格:6.00元
当前余额:100.00
阅读
您目前是文章会员,阅读数共:0篇
剩余阅读数:0篇
阅读有效期:0001/1/1 0:00:00