注册帐号丨忘记密码?
1.点击网站首页右上角的“充值”按钮可以为您的帐号充值
2.可选择不同档位的充值金额,充值后按篇按本计费
3.充值成功后即可购买网站上的任意文章或杂志的电子版
4.购买后文章、杂志可在个人中心的订阅/零买找到
5.登陆后可阅读免费专区的精彩内容
打开文本图片集
中图分类号:0175.1 文献标志码:A DOI:10.13338/j.issn.1674-649x.2025.06.015
0引言
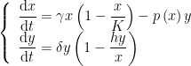
种群动力学作为生物数学的核心内容之一,广泛探讨了自然界中普遍存在的捕食者与食饵间的相互作用。捕食者-食饵模型的研究对于推动生物数学的发展具有重要意义[1-3]。Lotka-Volterra模型是捕食者-食饵模型中最经典的模型之一。(剩余12488字)
登录龙源期刊网
购买文章
捕食者具有额外食物的Leslie型捕食者-食饵模型的多重分支分析
文章价格:6.00元
当前余额:100.00
阅读
您目前是文章会员,阅读数共:0篇
剩余阅读数:0篇
阅读有效期:0001/1/1 0:00:00