注册帐号丨忘记密码?
1.点击网站首页右上角的“充值”按钮可以为您的帐号充值
2.可选择不同档位的充值金额,充值后按篇按本计费
3.充值成功后即可购买网站上的任意文章或杂志的电子版
4.购买后文章、杂志可在个人中心的订阅/零买找到
5.登陆后可阅读免费专区的精彩内容
打开文本图片集
中图分类号:0648.2
文献标志码:A
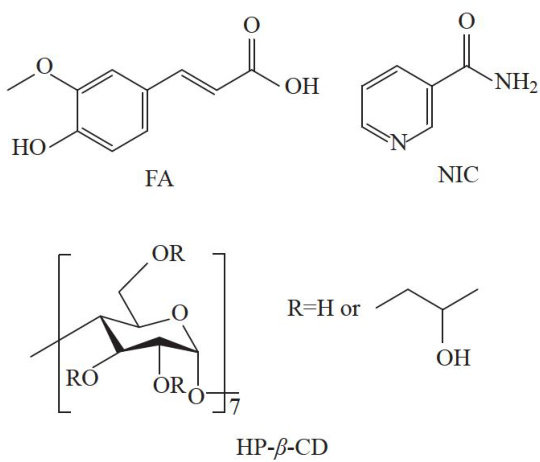
阿魏酸(FerulicAcid,FA)是一种多酚类植物活性物,广泛存在于阿魏草、当归等中草药及谷物植物的种子和叶片中。由于分子中存在活泼的酚羟基和甲氧基,FA具有优异的抗衰、抗炎、抗氧化及清除自由基活性的功能[2,被广泛应用于医药、食品、保健品和化妆品领域[3]。(剩余14617字)
登录龙源期刊网
购买文章
羟丙基- ⋅β⋅ -环糊精对阿魏酸-烟酰胺共晶的包合作用及溶液性质研究
文章价格:6.00元
当前余额:100.00
阅读
您目前是文章会员,阅读数共:0篇
剩余阅读数:0篇
阅读有效期:0001/1/1 0:00:00