现代纺织技术

现代纺织技术

2026年02期
  • 收藏
收藏成功
微博 空间 微信
本刊是国家纺织工业局主管,浙江工程学院、浙江省纺织工程学会联合主办的全国性科技期刊。以现代纺织科技为重点,报道理论研究、...     展开

类型

月刊

类别

学术
定价
促销信息
全年订阅更优惠!
¥8.00 ¥4.89
目录

纺织前沿

光子晶体结构色颜料的制备及应用进展
摘要:随着传统化学染料在环保、耐久性等方面的局限性日益凸显,光子晶体结构色颜料凭借其微纳米周期性光学结构,兼具结构独立性、介质普适性、加工灵活性和无污染等显著优势,正成为替代传统染色的可持续方案。文章梳理了光子晶体的多维分类体系(一维、二维...
熔体近场直写技术在骨软骨修复领域的研究进展
摘要:骨软骨组织在损伤后自我修复能力有限,严重影响患者生活质量,因此,开发具有良好修复性能的功能性组织支架具有重要意义。熔体近场直写(MEW)作为一种新兴的高精度增材制造技术,能够在微米尺度构建有序纤维支架,展现出良好的结构可控性与功能集成...

纤维材料

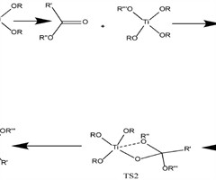
基于密度泛函理论对钛酸四丁酯催化聚酯预缩聚机理解析与活性调控
摘要:为了探究钛系催化剂对绿色聚酯纤维制备的影响规律,基于密度泛函理论(DFT)构建了钛酸四丁酯(TBOT)催化聚酯预缩聚反应的模型,并从聚酯种类、分子链长度和配体结构3个方面探讨影响钛酸四丁酯催化性能的因素。结果表明:不同酯化物预缩聚反应...
界面对纺织复合材料面内剪切及损伤失效行为的影响
摘要:为了探究纺织复合材料面内剪切损伤机制,阐明界面性能对纺织复合材料损伤行为的影响,基于零厚度内聚力单元,通过微观尺度模型预测不同界面接触状态下的纱线性能,并建立了考虑纱线-纱线、纱线-基体界面特点的细观尺度模型。采用有限单元法与实验方法...
多巴胺改性片状炭基铁吸波涂料的制备及性能
摘要:针对片状羰基铁(FCI)在水性聚氨酯体系中分散稳定性差的问题,先后采用聚多巴胺(PDA)和十二烷基三甲氧基硅烷(DTMS)对FCI粒子进行表面改性,得到改性试样FCI-PDA@DTMS,并探究该改性试样的形貌、结构及在水性聚氨酯体系中...
Fe3O4@TiO2@PANI吸波剂的制备及其性能
摘要:针对现有吸波剂组分、结构与性能单一以及吸波体系在强紫外环境下易失效等问题,以纳米四氧化三铁( Fe304 )为内核,锐钛矿型二氧化钛( TiO2 )和聚苯胺(PANI)为外壳,采用溶剂热法和原位聚合法成功制备了具有核壳结构的 Fe3O...

纺织工程

热裂解-气相色谱/高分辨质谱法鉴别过滤物微纤维成分
摘要:纤维结构复杂、应用多样,因而识别基质中的各种纤维挑战巨大。通过热裂解-气相色谱/高分辨质谱联用技术( Py -GC/HRMS)研究合成纤维、纤维素纤维、蛋白质纤维的热裂解行为,建立纤维热解分析数据库,从而评估了不同用户洗衣机滤网过滤物...
异色经纬交织织物颜色特征对紫外屏蔽性能的影响
摘要:为研究织物颜色对其紫外屏蔽性能的影响,选用6种颜色纱线织造36块异色经纬交织织物,使用Digieye数码测色系统获取织物在CIE标准色度系统与均匀颜色空间的8项颜色参数,结合分光光度计和纺织品抗紫外因子测试仪分别测试得到长波段紫外线透...
无金属氮化硼催化剂对废弃聚酯纺织品醇解性能的影响
摘要:为解决传统金属基催化剂在废弃聚酯纺织品醇解过程中溢出量大、易造成二次污染的问题,以硼酸( H3BO3 )和三聚氰胺( C3H6N6; )为原料,制备了多孔棒状氮化硼(c-BN)醇解催化剂。通过改变反应时间、反应温度、催化剂用量及聚对苯...

数智时尚

基于改进PointNet++的服装点云分割与边界优化
摘要:人体与服装及服装不同部位之间的边界区域常包含复杂几何特征与变化,使得三维点云场景分割方法在进行服装提取时边界分割效果较差,进而影响整体精度。为了提高服装点云分割精度,提出一种融合边界识别的改进PointNet ++ 模型,以提高边界区...

生态染整工程与绿色化

“生态染整工程与绿色化”专栏导言
顺应纺织行业绿色低碳发展趋势,染整行业亟需加快低水耗、低能耗、低排放与高性能兼顾的先进适用技术研发与应用步伐。本期专栏聚焦“生态染整工程与绿色化”,呈现前处理优化、新型固色剂研发、后整理创新及家庭洗护抗静电整理等维度技术突破,为行业绿色转型...
腰果酚基固色剂的合成及其在锦纶织物上的应用
摘要:针对当前主流酸性固色剂因含双酚结构导致的内分泌干扰风险及环境残留问题,以腰果酚为原料,对其进行磺化和缩合改性,得到了含有磺酸基团的腰果酚醛树脂,并将其用于酸性染料染色锦纶织物的固色,考察磺化工艺对磺化率的影响以及缩合工艺对产物黏度和固...
基于塑形交联协同的棉织物耐水洗轧光整理
摘要:针对棉织物轧光整理效果差、整理过程繁琐、产品风格单一的问题,设计了塑形交联协同轧光的方案,优化了交联过程中催化体系、焙烘温度和时间对于织物保光率的影响,探究了塑形过程中织物含潮率、轧光温度和轧光次数对织物光泽值的影响,并将醇类溶剂、淀...
基于喷涂技术的家用干衣机中织物抗静电功能整理
摘要:为了解决家庭洗护中织物抗静电整理周期长、效率低的问题,针对家用干衣机提出了基于喷涂技术的织物抗静电整理方法。首先,筛选出适用于家庭洗护条件的抗静电整理剂,接着通过干衣机内外喷涂实验,确定抗静电整理最佳工艺条件、溶液浓度、喷涂参数,检测...
高耐光色牢度环保型仿超纤革的制备工艺及性能
摘要;为制备一种手感丰满、耐光色牢度高的仿超纤革,选用耐黄变水性聚氨酯为原料,借助浸轧工艺对超细纤维经编面料进行处理,并进行预烘和焙烘处理,成功制得水性聚氨酯仿超纤革。通过研究水性聚氨酯种类、浓度以及基布种类对仿超纤革在手感、透气性和耐光色...
锦氨织物超声波除油清洗工艺优化
摘要;近年来,超声波工艺越来越多地被用于锦氨织物的除油清洗,但除油效果通常不如常规水洗工艺。为了优化超声波工艺的除油效果,采用单因素实验考察了超声波功率、时间、温度、浴比、pH和水质硬度对除油效果的影响,并在此基础上通过响应面实验分析了显著...

作品鉴赏

“弗洛伊德玫瑰”系列服饰设计作品
设计说明:本系列设计作品灵感源自波兰作家辛波斯卡的诗集《万物静默如迷》中的一句话:“只有玫瑰才能盛开如玫瑰。”这句话触发了我对玫瑰无尽的联想。玫瑰不仅有美丽的外表,还带有如钢铁般的利刺,它艳丽却不娇弱,那肆意的生命力给了我诸多启发。此系列作...
“景泰流金”系列功能内衣设计作品
设计说明:本设计以景泰蓝艺术为视觉核心元素,以人体功能需求为核心导向,推动传统工艺的艺术韵致在现代功能内衣中实现“美学与实用共生”的设计价值。色彩设计方面,提取景泰蓝经典宝蓝作为主色,低饱和度朱红作为辅助色,鎏金色作为点缀色,暗合景泰蓝“釉...
“凤穿牡丹”系列文创设计作品
设计说明:系列文创设计以传统吉祥纹样“凤穿牡丹”为母题,围绕凤凰、牡丹、蝴蝶与吉祥鸟等意象展开当代视觉重构。设计采用"造型提炼—当代转译—情境组合”的方法路径,在保留传统纹样识别特征的基础上,对图形轮廓、比例关系与层级结构进行几何...
“梦瑶之镜”系列文创设计作品
设计说明:本系列设计作品以“传承与创新”为核心理念,在保留瑶族传统纹样精髓的基础上,运用现代设计手法进行创新,使设计具有民族特色,符合现代审美。图案采用了瑶族传统八角花形纹、万字纹、菱形鱼纹等经典元素,通过重组排列生成新纹样,色彩以黄蓝为主...
相关杂志
  • 中国商论

    中国商论

    2026年09期
    ¥17.49
  • 中外建筑

    中外建筑

    2026年03期
    ¥9.90
  • 河南科技

    河南科技

    2026年08期
    ¥6.00
  • 海洋开发与管理

    海洋开发与管理

    2026年02期
    ¥21.69
  • 计算机应用文摘

    计算机应用文摘

    2026年09期
    ¥9.00
  • 社会科学研究

    社会科学研究

    2026年03期
    ¥9.00
  • 现代信息科技

    现代信息科技

    2026年08期
    ¥18.00
  • 湖南大学学报(社会科学版)

    湖南大学学报(社会科学版)

    2025年06期
    ¥12.00
  • 中国调味品

    中国调味品

    2026年04期
    ¥0.00
  • 民主与科学

    民主与科学

    2026年01期
    ¥3.39
  • 计算技术与自动化

    计算技术与自动化

    2025年04期
    ¥10.89
  • 中西医结合心脑血管病杂志

    中西医结合心脑血管病杂志

    2026年10期
    ¥4.00
订阅全年后,您可享受以下权益
①该本杂志即日起至未来1年内所有更新电子版杂志的使用权限;
②赠送该杂志的部分往期的杂志的使用权限,有效期1年。

全年订购价格: ¥29.34

订阅全年
--%>

登录龙源期刊网

温馨提示:

1.点击网站右上角的“充值”按钮可以为您的账号充值

2.充值金额可以选择30,50,100或500元

3.充值成功后即可购买网站上的任意杂志或文章

还没有龙源账户? 立即注册

购买杂志

现代纺织技术

杂志价格:¥4.89元

  • 微信扫码支付
  • 当前余额:100.00

购买杂志

现代纺织技术

杂志价格:¥4.89元

  • 微信扫码支付
  • 当前余额:¥100.00

    去充值
monitor