注册帐号丨忘记密码?
1.点击网站首页右上角的“充值”按钮可以为您的帐号充值
2.可选择不同档位的充值金额,充值后按篇按本计费
3.充值成功后即可购买网站上的任意文章或杂志的电子版
4.购买后文章、杂志可在个人中心的订阅/零买找到
5.登陆后可阅读免费专区的精彩内容
打开文本图片集
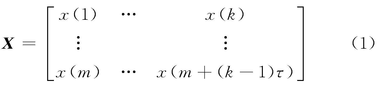
摘要:针对旋转机械早期微弱故障难以被及时准确检测的问题,提出了一种基于辛主成分分析(SPCA)和单分类超圆盘(OCHD)的智能检测方法。首先,采用SPCA将振动信号映射到辛空间,并提取最能表征信号主要能量和有效信息的辛特征值作为旋转机械故障特征。然后,将超圆盘模型引入单分类领域,提出了OCHD模型,该模型采用超圆盘模型评估已知样本的类别分布,并通过寻找几何模型上距离原点最近的点来构建最优单分类超平面,从而实现早期微弱故障的智能检测。(剩余13159字)
登录龙源期刊网
购买文章
SPCA和OCHD相结合的旋转机械早期微弱故障检测方法
文章价格:6.00元
当前余额:100.00
阅读
您目前是文章会员,阅读数共:0篇
剩余阅读数:0篇
阅读有效期:0001/1/1 0:00:00